

Hãy luôn nhớ cảm ơn và vote 5*
nếu câu trả lời hữu ích nhé!
`7x^2-35x+42=0`
`⇔` `x^2-5x+6=0` (chia cả `2` vế cho `7`)
`⇔` `x^2-3x-2x+6=0`
`⇔` `x(x-3)-2(x-3)=0`
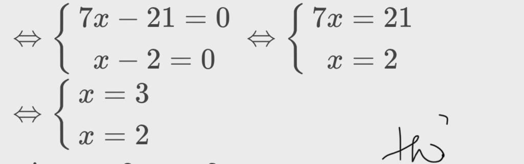
`⇔` `(x-3)(x-2)=0`
`⇔` \(\left[ \begin{array}{l}x-3=0\\x-2=0\end{array} \right.\)
`⇔` \(\left[ \begin{array}{l}x=3\\x=2\end{array} \right.\)
Vậy nghiệm của đa thức đã cho là: `x=2` hoặc `x=3`
Hãy giúp mọi người biết câu trả lời này thế nào?
![]()
Bảng tin