

Đề bài là rút gọn phân thức!
Mn giải chi tiết giúp em với ạ
Hãy luôn nhớ cảm ơn và vote 5*
nếu câu trả lời hữu ích nhé!
Đáp án:
Giải thích các bước giải:
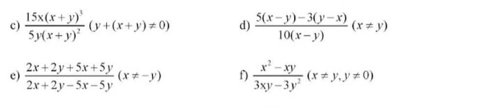
`c) \frac{15x(x + y)^3}{5y(x + y)^2} (y + (x + y) \ne 0)`
`= \frac{3x(x + y)}{y}`
`d) \frac{5(x - y) - 3(y - x)}{10(x - y)} (x \ne y)`
`= \frac{5(x - y) + 3(x - y)}{10(x - y)}`
`= \frac{(x - y)(5 + 3)}{10(x - y)}`
`= \frac{8}{10} = 4/5`
`e) \frac{2x + 2y + 5x + 5y}{2x + 2y - 5x - 5y} (x \ne -y)`
`= \frac{2(x + y) + 5(x + y)}{2(x + y) - 5(x + y)}`
`= \frac{(x + y)(2 + 5)}{(x + y)(2 - 5)}`
`= -7/3`
`f) \frac{x^2 - xy}{3xy - 3y^2} (x \ne y; y \ne 0)`
`= \frac{x(x - y)}{3y(x - y)}`
`= \frac{x}{3y}`
Hãy giúp mọi người biết câu trả lời này thế nào?
![]()
Đáp án+Giải thích các bước giải:
`c)\frac{15x.(x+y)^{3}}{5y.(x+y)^{2}}(y\ne0;x+y\ne0->x\ne-y)`
`=\frac{5.(x+y)^{2}.3x.(x+y)}{5.(x+y)^{2}.y}`
`=\frac{3x.(x+y)}{y}`
`d)\frac{5.(x-y)-3.(y-x)}{10.(x-y)}` `(đk:x\ney)`
`=\frac{5.(x-y)+3.(x-y)}{10.(x-y)}`
`=\frac{8.(x-y)}{10.(x-y)}`
`=8/10`
`=4/5`
`e)\frac{2x+2y+5x+5y}{2x+2y-5x-5y}` `(đk:x\ne-y)`
`=\frac{2.(x+y)+5.(x+y)}{2.(x+y)-5.(x+y)}`
`=\frac{7.(x+y)}{-3.(x+y)}`
`=-7/3`
`f)\frac{x^{2}-xy}{3xy-3y^{2}}` `(đk:y\ne0;x\ney)`
`=\frac{x.x-x.y}{3y.x-3y.y}`
`=\frac{x.(x-y)}{3y.(x-y)}`
`=\frac{x}{3y}`
Hãy giúp mọi người biết câu trả lời này thế nào?
Bảng tin
0
50
0
Hồi nãy anh/chị cx giúp em câu a,b đúng ko ạ! Em cảm ơn nhìu !
2381
869
1793
kcj đâu