Vui lòng chỉ chọn một câu hỏi
Hoidap247.com Nhanh chóng, chính xác
+
Danh mục mới
2
-1
0
Hãy luôn nhớ cảm ơn và vote 5* nếu câu trả lời hữu ích nhé!
5218
234
7273
Đáp án+Giải thích các bước giải:
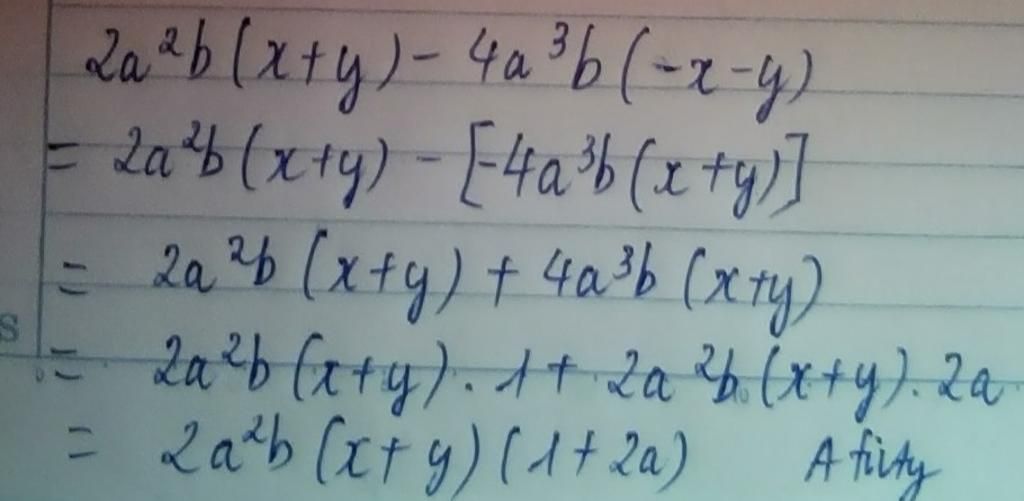
`2a^2b (x+y) - 4a^3b (-x-y)`
`= 2a^2b (x+y) - 4a^3b . (-1) . (x+y)`
`= 2a^2b (x+y) + 4a^3b (x+y)`
`= (x+y)(2a^2b + 4a^3b)`
`= (x+y) . 2a^2b . (1 + 2a)`
Hãy giúp mọi người biết câu trả lời này thế nào?
5160
2767
4573
Đáp án:
Giải thích các bước giải:
335
-380
387
Anh ơi tặng e rubik :(
Em cảm ơn ạ 😳
405
9769
458
anh tặng em chill box đc k, em có mỗi quả trứng đc nick phụ tặng
thank anh nhiều
anh tốt bụng quá
ok e
4504
45324
3547
woa , cho t ếch pepe đk
20
1850
13
e ơi , cho chj trà sữa với :3
Bảng tin
Gửi yêu cầu Hủy