

Hãy luôn nhớ cảm ơn và vote 5*
nếu câu trả lời hữu ích nhé!
𝓟𝓪𝓻𝓴𝓬𝓱𝓪𝓮𝔂𝓸𝓾𝓷𝓰
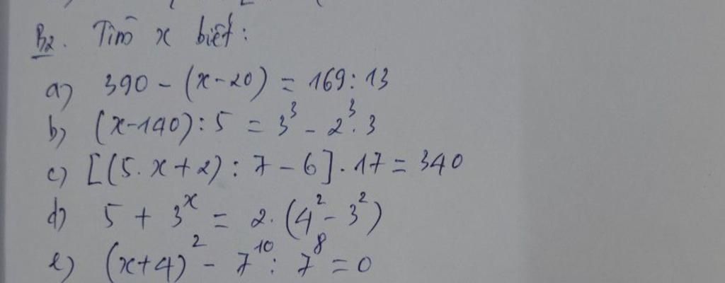
`a,`
`390-(x-20)=169:13`
`=> 390-x+20=13`
`=> 410-x=13`
`=> x=410-13`
`=> x=397`
Vậy `x=397`
`b,`
`(x-140):5=3^3-2^3 . 3`
`=> (x-140):5=27-24`
`=> (x-140):5=3`
`=> x-140=15`
`=> x=15+140`
`=> x=155`
Vậy `x=155
`c,`
`[(5x+2):7-6].17=340`
`=> (5x+2):7-6=20`
`=> (5x+2):7=26`
`=> 5x+2=182`
`=> 5x=180`
`=> x=36`
Vậy `x=36`
`d,`
`5+3^x=2(4^2-3^2)`
`=> 5+3^x=2.7`
`=> 5+3^x=14`
`=> 3^x=14-5`
`=> 3^x=9`
`=> 3^x=3^2`
`=> x=2`
Vậy `x=2`
`e,`
`(x+4)^2-7^10:7^8=0`
`=> (x+4)^2-7^2=0`
`=> (x+4)^2=7^2`
`TH1:`
`x+4=7`
`=> x=7-4`
`=> x=3`
`TH2:`
`x+4=-7`
`=> x=-7-4`
`=> x=-11`
Vậy `x=3` hoặc `x=-11`
Hãy giúp mọi người biết câu trả lời này thế nào?
Bảng tin