

Hãy luôn nhớ cảm ơn và vote 5*
nếu câu trả lời hữu ích nhé!
Đây là câu trả lời đã được xác thực
Câu trả lời được xác thực chứa thông tin chính xác và đáng tin cậy, được xác nhận hoặc trả lời bởi các chuyên gia, giáo viên hàng đầu của chúng tôi.
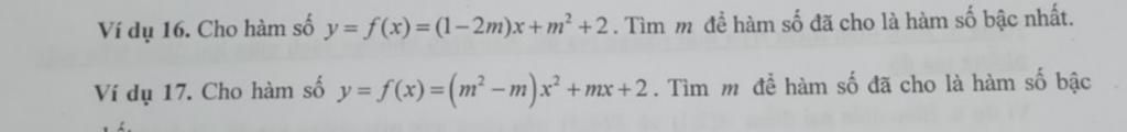
Ví dụ `16:`
Để hàm số đã cho là hàm số bậc nhất thì `ane0`
`<=>1-2mne0`
`<=>2mne1`
`<=>mne1/2`
Vậy để hàm số đã cho là hàm số bậc nhất thì `mne1/2`
Ví dụ `17:`
Để hàm số đã cho là hàm số bậc nhất thì `ane0`
`<=>m^2-mne0`
`<=>m.(m-1)ne0`
`<=>` \(\left[ \begin{array}{l}m\neq0\\m-1\neq0\end{array} \right.\)
`<=>` \(\left[ \begin{array}{l}m\neq0\\m\neq1\end{array} \right.\)
Vậy để hàm số đã cho là hàm số bậc nhất thì `mne0` hoặc `mne1`
Hãy giúp mọi người biết câu trả lời này thế nào?

VD16:
Để hàm số `y=(1-2m)x+m^2+2` là hàm số bậc nhất thì
`a ne 0`
`<=>1-2m ne0`
`<=>2m ne 1`
`<=>m ne 1/2`
Vậy `m ne 1/2`
VD17:
Để hàm số `y=(m^2-m)x^2+mx+2` là hàm số bậc nhất thì
`a ne 0`
`<=>m^2-m ne0`
`<=>m(m-1) ne0`
`<=>m ne 0` hoặc `m-1 ne 0`
`<=>m ne0` hoặc `m ne1`
Vậy `m ne 0` hoặc `m ne1`
Hãy giúp mọi người biết câu trả lời này thế nào?
Bảng tin
6388
11289
5606
=)) giỏi hơn nhóc đấy mếu đi