

Hãy luôn nhớ cảm ơn và vote 5*
nếu câu trả lời hữu ích nhé!
Trung điểm của đoạn thẳng AB là điểm nằm giữa A,B các đều A, B(MA=MB)2. Nếu M là trung điểm của đoạn AB thì: MA=MB=AB/2. Định nghĩa: Trung điểm M của đoạn thẳng AB là điểm nằm giữa A,B cáchđều A,B(MA=MB).
Chúc cậu học tốt!
Hãy giúp mọi người biết câu trả lời này thế nào?
Đáp án:
Trung điểm là điểm nằm chính giữa đoạn thẳng, chia đoạn thẳng ra làm hai đoạn dài bằng nhau.
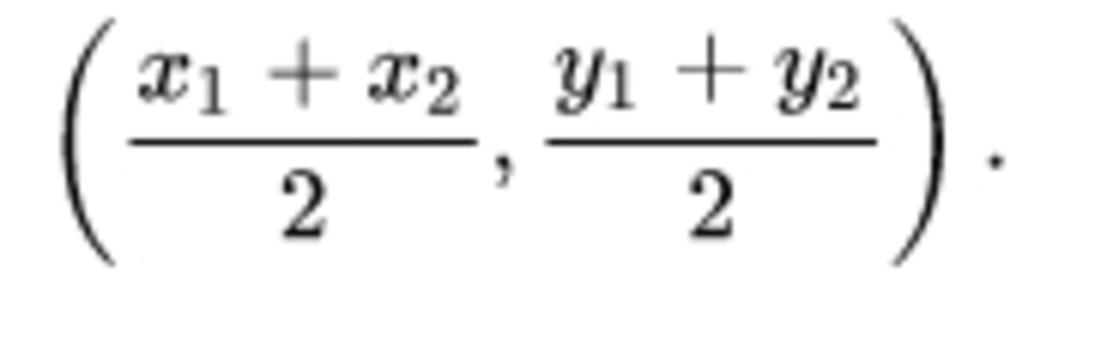
Công thức để xác định trung điểm của một đoạn thẳng trên một mặt phẳng Euclid nối điểm (x1, y1) và (x2, y2) là
Hãy giúp mọi người biết câu trả lời này thế nào?
Bảng tin
0
32
0
cảm ơn bạn nhiều nha
326
16
342
Ko có j