

Hãy luôn nhớ cảm ơn và vote 5*
nếu câu trả lời hữu ích nhé!
Đáp án:
Giải thích các bước giải:
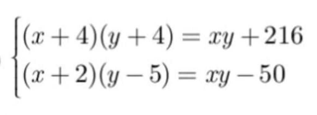
{ ( x + 4 ) ( y + 4 ) = xy + 216 =>{ xy + 4x + 4y + 16 = xy + 216
{ ( x + 2 ) ( y -5 ) = xy -50 { xy - 5x + 2y - 10 = xy - 50
=> { 4x + 4y = 200 => { 4x + 4y = 200 => { 14x = 280 =>{ x = 20
{ -5x + 2y = -40 { -10x + 4y = -80 { 4x + 4y = 200 {y =30
vậy nghiệm của hệ phương trình là : (x ; y) = { 20 ; 30}
Hãy giúp mọi người biết câu trả lời này thế nào?
![]()
Đáp án `+` Giải thích các bước giải:
$\bullet$ $\begin{cases} (x+4)(y+4) = xy + 216 \\ (x+2)(y-5) = xy -50\\ \end{cases}$
$⇔ \begin{cases} xy + 4x + 4y + 16= xy + 216 \\ xy - 5x + 2y -10 = xy -50\\ \end{cases}$
$⇔ \begin{cases} 4x + 4y =200 \\ - 5x + 2y= -40\\ \end{cases}$
$⇔ \begin{cases} 4x + 4y =200 \\ - 10x + 4y= -80\\ \end{cases}$
$⇔ \begin{cases} 14x =280 \\ - 5x + 2y= -40\\ \end{cases}$
$⇔ \begin{cases} x =20 \\ - 5.20 + 2y= -40\\ \end{cases}$
$⇔ \begin{cases} x =20 \\ y =30\\ \end{cases}$
Vậy HPT có `1` tập nghiệm duy nhất `(20;30}`.
Hãy giúp mọi người biết câu trả lời này thế nào?
![]()
Bảng tin