Đăng nhập để hỏi chi tiết


Hãy luôn nhớ cảm ơn và vote 5*
nếu câu trả lời hữu ích nhé!
Giải thích các bước giải:
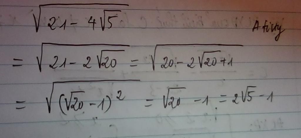
`sqrt(21-4sqrt5)`
`=sqrt(20-4sqrt5+1)`
`=sqrt((2sqrt5-1)^2)`
`=|2sqrt5-1|`
`=2sqrt5-1`
Hãy giúp mọi người biết câu trả lời này thế nào?

Bảng tin