

Hãy luôn nhớ cảm ơn và vote 5*
nếu câu trả lời hữu ích nhé!
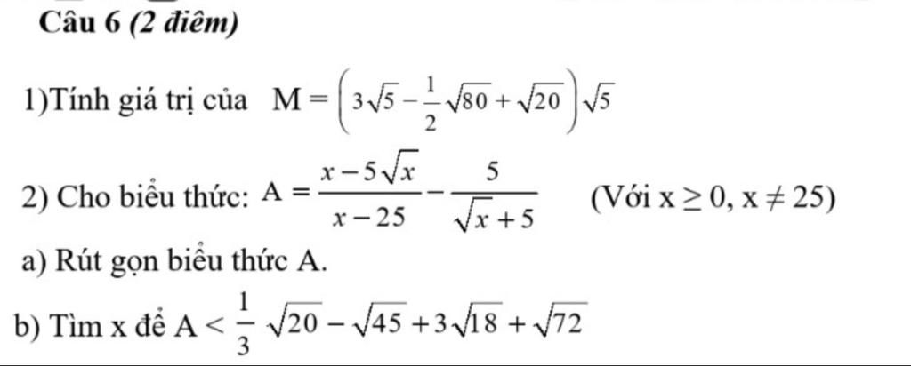
Đáp án:`+`Giải thích các bước giải:
`a,` ĐK: `x>=0;x ne 25`
`A=(x-5sqrt{x})/(x-25)-5/(sqrt{x}+5)`
`=(sqrt{x}(sqrt{x}-5))/((sqrt{x}-5)(sqrt{x}+5)) -5/(sqrt{x}+5)`
`=sqrt{x}/(sqrt{x}+5)-5/(sqrt{x}+5)`
`=(sqrt{x}-5)/(sqrt{x}+5)`
`***` Đáp án câu `a` là: `(sqrt{x}-5)/(sqrt{x}+5)`
`b,` Để `A<1/3sqrt{20}-sqrt{45}+3sqrt{18}+sqrt{72}`
`<=>(sqrt{x}-5)/(sqrt{x}+5)<1/3sqrt{4.5}-sqrt{9.5}+3sqrt{9.2}+sqrt{36.2}`
`<=>(sqrt{x}-5)/(sqrt{x}+5)<2/3sqrt{5}-3sqrt{5}+9sqrt{2}+6sqrt{2}`
`<=>(sqrt{x}-5)/(sqrt{x}+5)<-7/3sqrt{5}+15sqrt{2}`
`<=>(3(sqrt{x}-5))/(3(sqrt{x}+5))<((-7sqrt{5}+45sqrt{2})(sqrt{x}+5))/(3(sqrt{x}+5))`
`<=>3\sqrt{x}-15<-7\sqrt{x}-35\sqrt{5}+45\sqrt{2x}+225\sqrt{2}`
`<=>3\sqrt{x}-15+7\sqrt{x}<-35\sqrt{5}+45\sqrt{2x}+225\sqrt{2}`
`<=>10\sqrt{x}-15<-35\sqrt{5}+45\sqrt{2x}+225\sqrt{2}` (vô lí)
Vậy không tìm được giá trị của `x`
Hãy giúp mọi người biết câu trả lời này thế nào?

Bảng tin
105
3580
58
bạn ơi dòng thứ 4 từ dưới lên tại sao lại 46 chứ ko pk -46
105
3580
58
vì cứ vướng cái này mà mik toàn ra vô lí
105
3580
58
bạn ơi
1654
5121
1071
vì 46 là thừa số trong phép nhân nên khi chuyển vế ko đổi dấu nha