Vui lòng chỉ chọn một câu hỏi
Hoidap247.com Nhanh chóng, chính xác
+
Danh mục mới
0
40
Hãy luôn nhớ cảm ơn và vote 5* nếu câu trả lời hữu ích nhé!
5160
2767
4573
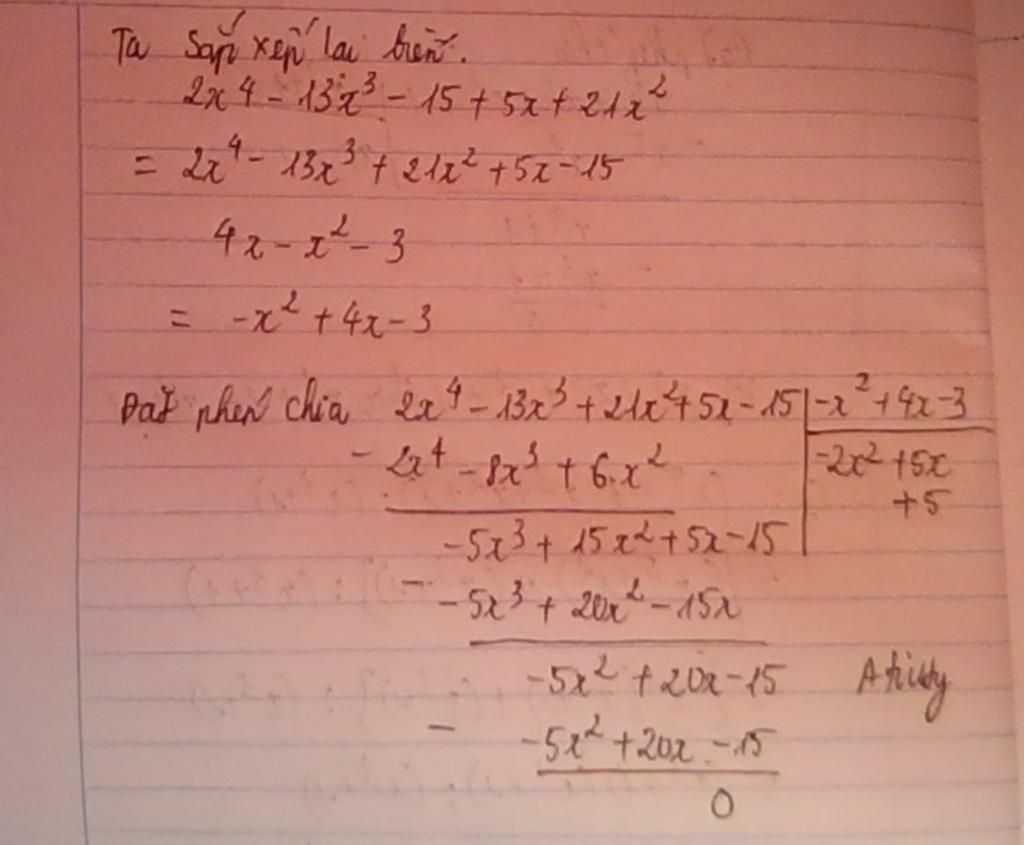
Đáp án:
`=-2x²+5x+5`
Giải thích các bước giải:
Hãy giúp mọi người biết câu trả lời này thế nào?
2081
36215
1453
Bạn ativity ơi bật đại đi bạn
ko đc đâu tối nay mình bận mình off đây
Không sao đâu bạn bạn bật đi rồi trong nhóm mình cày ạ
Bảng tin
Gửi yêu cầu Hủy
2081
36215
1453
Bạn ativity ơi bật đại đi bạn
5160
2767
4573
ko đc đâu tối nay mình bận mình off đây
2081
36215
1453
Không sao đâu bạn bạn bật đi rồi trong nhóm mình cày ạ