Đăng nhập để hỏi chi tiết


Hãy luôn nhớ cảm ơn và vote 5*
nếu câu trả lời hữu ích nhé!
Đáp án:
Giải thích các bước giải:Bạn chú ý nhé
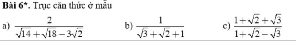
a) căn 18 thì bằng 3 căn 2 nên thu gọn thành 2 căn 14/14
c) Nhân 1+ căn 2 - căn 3 cả tử và mẫu rồi phân tích tiếp
b) Nhân căn 3 + căn 2 - 1 hoặc căn 3 - căn 2 - 1 rồi phân tích bình phương nhé
Sorry vì mk ko viết đc căn nên hơi khó nhìn :<<
mk chỉ hướng dẫn để bạn lm vì bài này cx ko khó lắm nên thông cảm nhá
ko đánh giá sao cũng đc :>>
Chúc bn hk tốt !!!
Hãy giúp mọi người biết câu trả lời này thế nào?
Bảng tin