

Hãy luôn nhớ cảm ơn và vote 5*
nếu câu trả lời hữu ích nhé!

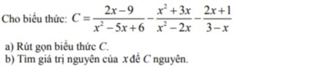
Đáp án:
$\begin{array}{l}
Dkxd:\left\{ \begin{array}{l}
{x^2} - 5x + 6 \ne 0\\
{x^2} - 2x \ne 0\\
3 - x \ne 0
\end{array} \right.\\
\Leftrightarrow \left\{ \begin{array}{l}
\left( {x - 2} \right)\left( {x - 3} \right) \ne 0\\
x\left( {x - 2} \right) \ne 0\\
x \ne 3
\end{array} \right.\\
\Leftrightarrow \left\{ \begin{array}{l}
x \ne 2\\
x \ne 0\\
x \ne 3
\end{array} \right.\\
C = \dfrac{{2x - 9}}{{{x^2} - 5x + 6}} - \dfrac{{{x^2} + 3x}}{{{x^2} - 2x}} - \dfrac{{2x + 1}}{{3 - x}}\\
= \dfrac{{2x - 9}}{{\left( {x - 2} \right)\left( {x - 3} \right)}} - \dfrac{{x\left( {x + 3} \right)}}{{x\left( {x - 2} \right)}} + \dfrac{{2x + 1}}{{x - 3}}\\
= \dfrac{{2x - 9}}{{\left( {x - 2} \right)\left( {x - 3} \right)}} - \dfrac{{x + 3}}{{x - 2}} + \dfrac{{2x + 1}}{{x - 3}}\\
= \dfrac{{2x - 9 - \left( {x + 3} \right)\left( {x - 3} \right) + \left( {2x + 1} \right)\left( {x - 2} \right)}}{{\left( {x - 2} \right)\left( {x - 3} \right)}}\\
= \dfrac{{2x - 9 - \left( {{x^2} - 9} \right) + 2{x^2} - 4x + x - 2}}{{\left( {x - 2} \right)\left( {x - 3} \right)}}\\
= \dfrac{{2x - 9 - {x^2} + 9 + 2{x^2} - 3x - 2}}{{\left( {x - 2} \right)\left( {x - 3} \right)}}\\
= \dfrac{{{x^2} - x - 2}}{{\left( {x - 2} \right)\left( {x - 3} \right)}}\\
= \dfrac{{\left( {x - 2} \right)\left( {x + 1} \right)}}{{\left( {x - 2} \right)\left( {x - 3} \right)}}\\
= \dfrac{{x + 1}}{{x - 3}}\\
b)C = \dfrac{{x + 1}}{{x - 3}} = \dfrac{{x - 3 + 4}}{{x - 3}} = 1 + \dfrac{4}{{x - 3}}\\
C \in Z\\
\Leftrightarrow \dfrac{4}{{x - 3}} \in Z\\
\Leftrightarrow \left( {x - 3} \right) \in \left\{ { - 4; - 2; - 1;1;2;4} \right\}\\
\Leftrightarrow x \in \left\{ { - 1;1;2;4;5;7} \right\}\\
Do:x \ne 2\\
\Leftrightarrow x \in \left\{ { - 1;1;4;5;7} \right\}
\end{array}$
Hãy giúp mọi người biết câu trả lời này thế nào?
Bảng tin