Vui lòng chỉ chọn một câu hỏi
Hoidap247.com Nhanh chóng, chính xác
+
Danh mục mới
430
1610
312
Hãy luôn nhớ cảm ơn và vote 5* nếu câu trả lời hữu ích nhé!
5160
2732
4573
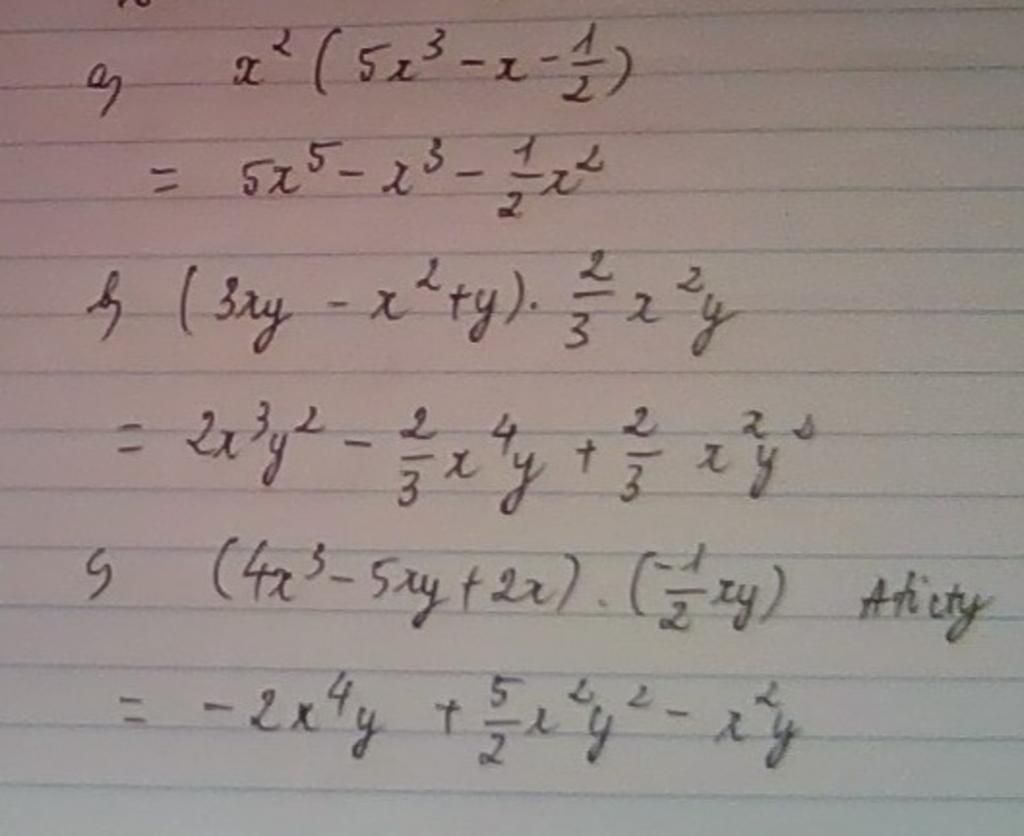
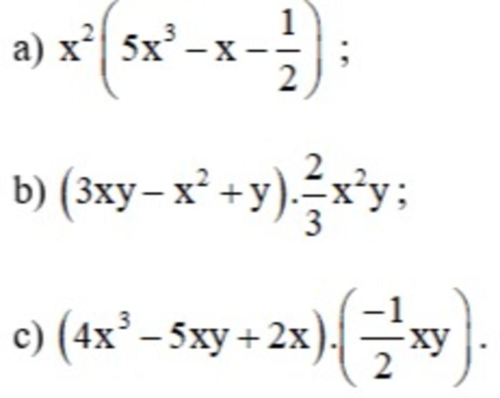
Đáp án:
Giải thích các bước giải:
Hãy giúp mọi người biết câu trả lời này thế nào?
3052
47
3559
Cày ghê z tr :=:
1213
549
1158
Gửi bn
Bảng tin
Gửi yêu cầu Hủy
3052
47
3559
Cày ghê z tr :=: