

Hãy luôn nhớ cảm ơn và vote 5*
nếu câu trả lời hữu ích nhé!
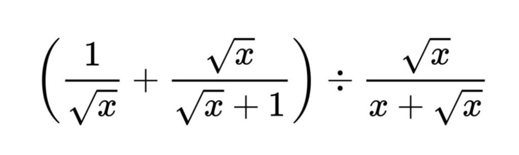
`(1/(\sqrt{x})+(\sqrt{x})/(\sqrt{x}+1)):(\sqrt{x})/(x+\sqrt{x})`
`ĐKXĐ:x>0`
`=((\sqrt{x}+1)/(\sqrt{x}(\sqrt{x}+1))+x/(\sqrt{x}(\sqrt{x}+1))):(\sqrt{x})/(\sqrt{x}(\sqrt{x}+1))`
`=(\sqrt{x}+1+x)/(\sqrt{x}(\sqrt{x}+1)):1/(\sqrt{x}+1)`
`=(\sqrt{x}+1+x)/(\sqrt{x}(\sqrt{x}+1)).(\sqrt{x}+1)`
`=((\sqrt{x}+1+x)(\sqrt{x}+1))/(\sqrt{x}(\sqrt{x}+1))`
`=(\sqrt{x}+1+x)/(\sqrt{x})`
Hãy giúp mọi người biết câu trả lời này thế nào?
![]()
Đặt `A= (1/(sqrtx) +(sqrtx)/(sqrtx +1)) : (sqrtx)/(x+ sqrtx)` `(đk: x >0)`
`= (sqrtx +1 + sqrtx . sqrtx)/(sqrtx(sqrtx +1)) : (sqrtx)/(sqrtx (sqrtx +1))`
`= (sqrtx +1 +x)/(sqrtx(sqrtx +1)) : 1/(sqrtx +1)`
`= (x+ sqrtx +1)/(sqrtx(sqrtx +1)) . (sqrtx +1)`
`= (x+ sqrtx +1)/(sqrtx)`
`= (x+ sqrtx)/(sqrtx) + 1/(sqrtx)`
`= (sqrtx(sqrtx +1))/(sqrtx) + 1/(sqrtx)`
`= sqrtx +1 + 1/(sqrtx)`
Vậy với `x > 0` thì `A= sqrtx +1 + 1/(sqrtx)`
Hãy giúp mọi người biết câu trả lời này thế nào?
Bảng tin