Đăng nhập để hỏi chi tiết


Hãy luôn nhớ cảm ơn và vote 5*
nếu câu trả lời hữu ích nhé!
Đáp án và giải thích các bước giải:
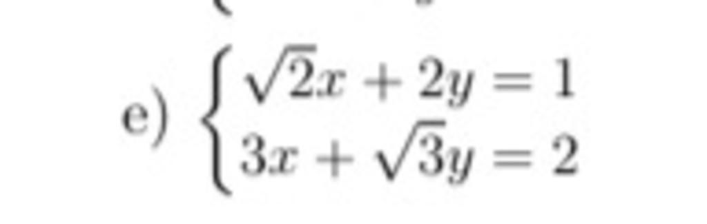
$e,\begin{cases} \sqrt{2}x+2y=1\\3x+\sqrt{3}y=2\\\end{cases}$
$⇔\begin{cases} x=2-3y\\\sqrt{2}(2-\sqrt{3}y)=1-\sqrt{3}y\\\end{cases}$
$⇔2\sqrt{2}-\sqrt{6}y+\sqrt{3}y=1$
$⇔y=\dfrac{1-2\sqrt{2}}{\sqrt{3}-\sqrt{6}}⇒x=2-\sqrt{3}.\dfrac{1-2\sqrt{2}}{\sqrt{3}(1-\sqrt{2})}$
$⇒x=2-\dfrac{1-2\sqrt{2}}{1-\sqrt{2}}$
Hãy giúp mọi người biết câu trả lời này thế nào?
Bảng tin