Đăng nhập để hỏi chi tiết


Hãy luôn nhớ cảm ơn và vote 5*
nếu câu trả lời hữu ích nhé!
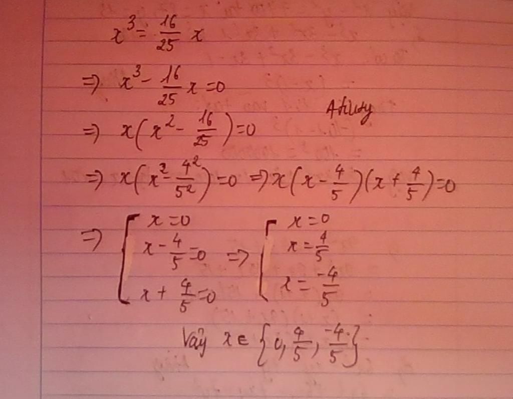
Đáp án`+`Giải thích các bước giải:
` x^3 = 16/25x `
Đặt `0:`
` x^3 - 16/25x = 0 `
` x (x^2 - 16/25) = 0 `
` x(x - 4/5) (x + 4/5) = 0 `
TH ` 1: `
` x = 0 `
TH ` 2: `
` x - 4/5 = 0 `
` x = 0 + 4/5 `
` x = 4/5 `
TH ` 3: `
` x + 4/5 = 0 `
` x = 0 - 4/5 `
` x = -4/5 `
Vậy: ` x in {0; 4/5; -4/5} `
Hãy giúp mọi người biết câu trả lời này thế nào?

Bảng tin
534
606
285
dùng ngoặc vuông chứ bạn
5160
2732
4573
dạ
61
377
36
https://hoidap247.com/cau-hoi/4909912