Vui lòng chỉ chọn một câu hỏi
Hoidap247.com Nhanh chóng, chính xác
+
Danh mục mới
229
1438
134
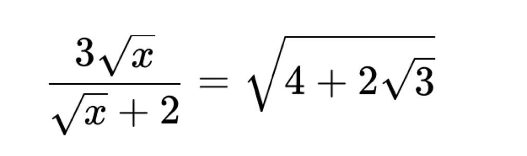
Giải đầy đủ hộ e vs ạ gấp
Xem thêm:
Bảng tin
Gửi yêu cầu Hủy