

Hãy luôn nhớ cảm ơn và vote 5*
nếu câu trả lời hữu ích nhé!
Đáp án:
`S={pi/4+kpi; -pi/6+k2pi;(7pi)/6+k2pi|k∈ZZ}`
Giải thích các bước giải:
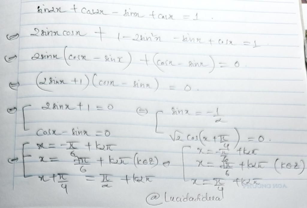
`sin2x+cos2x-sinx+cosx=1`
`<=>sin2x+1-2sin^2x-sinx+cosx=1`
`<=>(2sinx.cosx+cosx)-(2sin^2x+sinx)=0`
`<=>cosx(2sinx+1)-sinx(2sinx+1)=0`
`<=>(2sinx+1)(cosx-sinx)=0`
`@: th1: 2sinx+1=0`
`<=>sinx=-1/2`
`=>[(x=-pi/6+k2pi),(x=(7pi)/6+k2pi):}(k∈ZZ)`
`@: th1: cosx=sinx`
Xét cosx=0=>sinx=0=>VN
Xét `cosx \ne 0=>tanx=1`
`=>x=pi/4+kpi(k∈ZZ)`
Vậy `S={pi/4+kpi; -pi/6+k2pi;(7pi)/6+k2pi|k∈ZZ}`
Hãy giúp mọi người biết câu trả lời này thế nào?

Bảng tin
422
14948
639
E hèm, bữa sao cậu biết tớ tên Thảo nhở?
1095
19601
1092
E hèm Đăng à ;-;
422
14948
639
Tớ đâu phải tên Đăng, nó là thằng nào mà sao ai cũng nghĩ đó là tớ?
1095
19601
1092
:) Thế à, tui đoán bừa thôi á ^^
422
14948
639
=)) cậu 2k6 à
1095
19601
1092
Vâng :) chào chị
422
14948
639
tớ cũng 2k6 mờ -.-