www.math.n
Bài 4. (1 điểm) Tim x
a) x+7,78=42,5
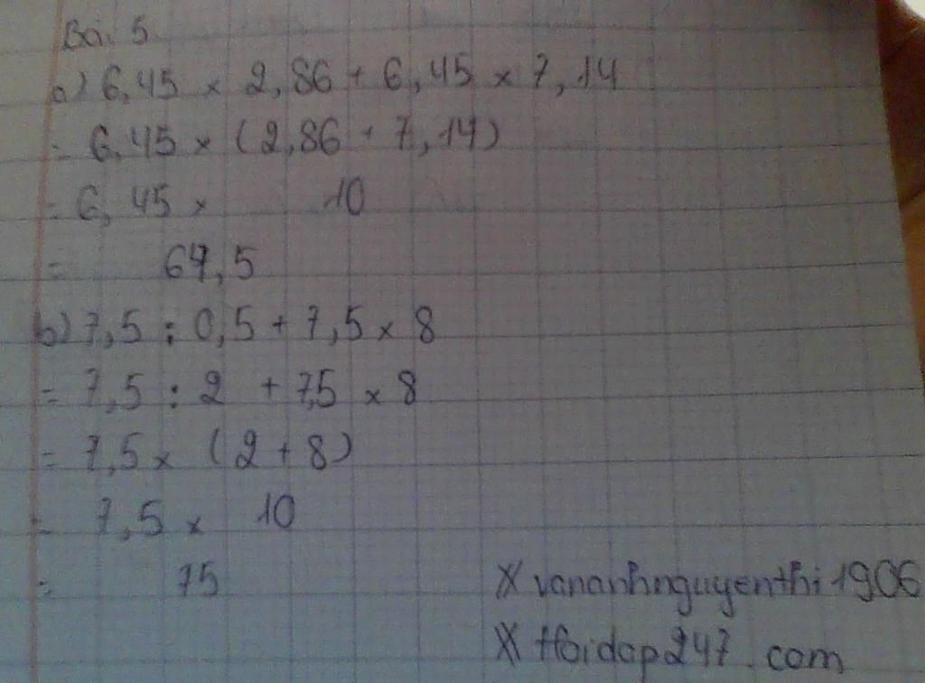
Bài 5. (2 điểm) Tinh bằng cách thuận tiện
a) 6,45x2,86+6,45x7,14=
b) x: 4,57-54-25,8
b) 7,5:0,5+7,5x8=
Toán cps
Bài 6. (2 điểm) Mảnh đất hình chữ nhật có chiều dài 32m. Chiều rộng bằng
chiều
4
dài. Trên mảnh đất đó người ta xây nhà hết 64 ...
Xem thêm
195
8919
248
ảnh hơi mờ thông cảm tại chụp bằng laptop , chữ hơi xấu vì e mk chép hộ
180
2223
82
vào nhóm k ak
125
221
173
chụp làm sao đc bằng latop vậy ạ
195
8919
248
có cam mà bn
125
221
173
ở đâu chỉ mình với
125
221
173
laptop nào cũng chụp đc à
195
8919
248
nhưng máy mk là máy mới nhất nên ko biết là máy cũ có cam ko
125
221
173
à oke