

Hãy luôn nhớ cảm ơn và vote 5*
nếu câu trả lời hữu ích nhé!
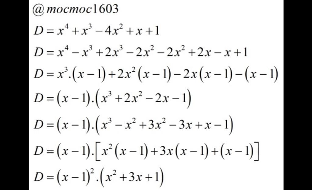
Đáp án:
`D=(x-1)^2(x^2+3x+1)`
Giải thích các bước giải:
`D= x^4 + x^3 - 4x^2 + x + 1`
`D=x^4- x^3 +2x^3 - 2x^2-2x^2 + 2x-x+1`
`D= x^3(x-1)+2x^2(x-1) - 2x(x-1) -(x-1)`
`D= (x-1)(x^3+2x^2-2x-1)`
`D= (x-1)(x^3-2x^2-3x^2-3x+x-1)`
`D= (x-1)(x^2(x-1)+3x^2(x-1)+(x-1))`
`D=(x-1)^2(x^2+3x+1)`
Hãy giúp mọi người biết câu trả lời này thế nào?
Bảng tin