

Phép khai phương là gì? Giải thích chi tiết nhất và ví dụ minh họa.
Hãy luôn nhớ cảm ơn và vote 5*
nếu câu trả lời hữu ích nhé!
Đây là câu trả lời đã được xác thực
Câu trả lời được xác thực chứa thông tin chính xác và đáng tin cậy, được xác nhận hoặc trả lời bởi các chuyên gia, giáo viên hàng đầu của chúng tôi.
* Khái niệm :
Khai phương là tìm căn bậc 2 của một biểu thức hoặc một số.
a, Quy tắc khai phương một tích : Muốn khai phương một tích của các số không âm , ta có thể khai phương từng thừa số rồi nhân các kết quả với nhau.
↔ Ví dụ : $\sqrt[]{64.16.81}$ = $\sqrt[]{64}$ .$\sqrt{16}$ .$\sqrt[]{81}$ = 8.4.9 =288
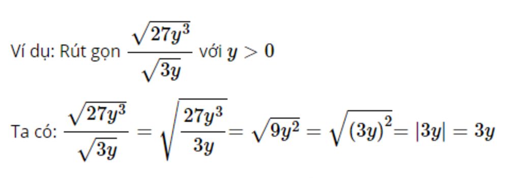
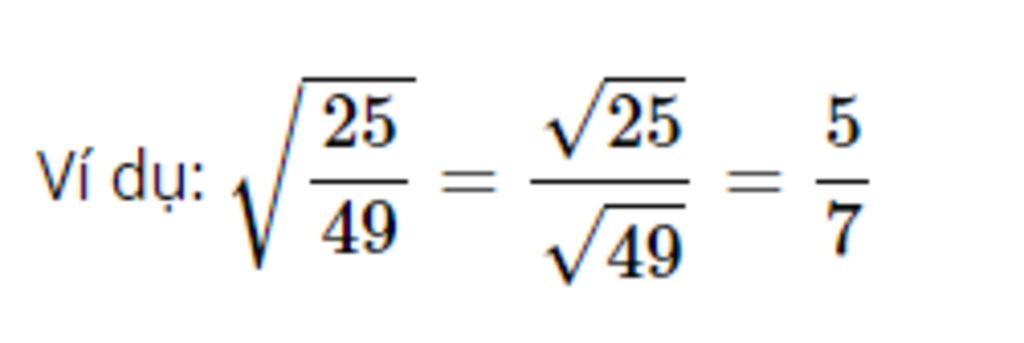
b, Quy tắc khai phương một thương : Muốn khai phương một thương $\frac{x}{y}$ , trong đó số x không âm và số y luôn dương , ta có theer khai phương lần lượt số x và số y , rồi chia kết quả thuws nhất cho kết quả thứ hai.
↔ Ví dụ : $\sqrt[]{}$ $\frac{49}{144}$ =$\dfrac{\sqrt[]{49} }{ \sqrt[]{144} }$=$\frac{7}{12}$
Hãy giúp mọi người biết câu trả lời này thế nào?
Phép khai phương là gì? Giải thích chi tiết nhất và ví dụ minh họa.
Trả lời:
Phép khai phương là gì?
⇔ Phép khai phương là: lấy căn số bậc hai của một số.
VD:
Liên hệ giữa phép chia và phép khai phương
Liên hệ giữa phép nhân và phép khai phương
MIK CÓ THAM KHẢO THÊM TRÊN MẠNG MONG BẠN THÔNG CẢM
Hãy giúp mọi người biết câu trả lời này thế nào?
Bảng tin
452
5860
1094
vào nhóm mik ko ạ