Vui lòng chỉ chọn một câu hỏi
Hoidap247.com Nhanh chóng, chính xác
+
Danh mục mới
0
58
Hãy luôn nhớ cảm ơn và vote 5* nếu câu trả lời hữu ích nhé!
1461
10788
1194
Đáp án:
Giải thích các bước giải:
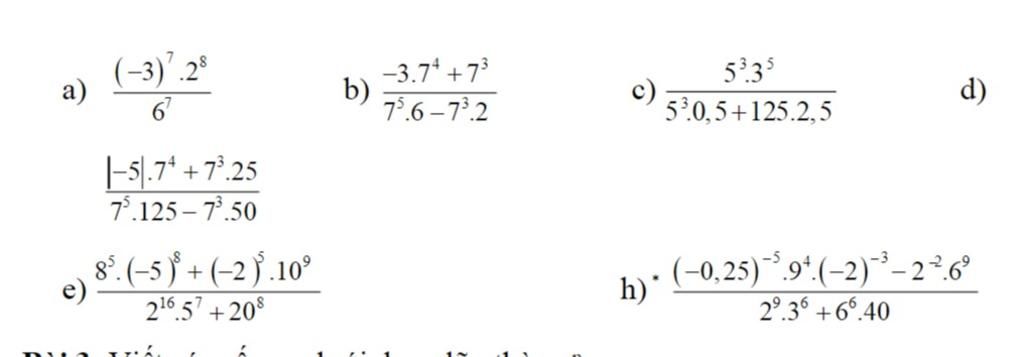
`[` Nhìn hình `]`
Hãy giúp mọi người biết câu trả lời này thế nào?
Hãy zoom màn hình để nhìn rõ hơn
Bảng tin
Gửi yêu cầu Hủy
1461
10788
1194
Hãy zoom màn hình để nhìn rõ hơn