

Hãy luôn nhớ cảm ơn và vote 5*
nếu câu trả lời hữu ích nhé!
Đáp án+Giải thích các bước giải:
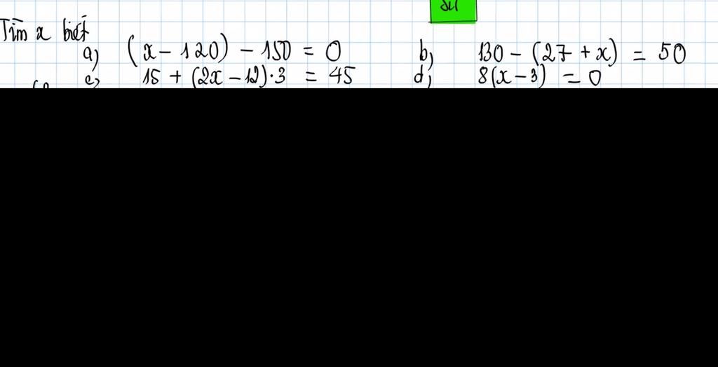
a)(x-120)-150=0 b) 130-(27+x)=50 c)15+(2x-12).3=45
x-120 = 0+150 27+x = 130-50 (2x-12).3 = 45-15
x-120 =150 27+x =70 (2x-12).3 = 30
x =150-120 x =70-27 2x-12 =30:3
x =30 x =43 2x-12 =10 d) 8(x-3)=0 2x = 10+12
x-3 =0 . 8 2x =22
x-3 =0 x =22:2
x =0+3 x =11
x =3
Cho mình xin CTLHN nhé!
Hãy giúp mọi người biết câu trả lời này thế nào?
![]()
Đáp án:
Giải thích các bước giải:
` a) (x-120)-150=0 `
` ⇒ x-120 = 150 `
` ⇒ x = 270 `
Vây ` x=270 `
` b) 130-(27+x)=50 `
` ⇒ 27+x = 80 `
` ⇒ x = 53 `
Vậy ` x=53 `
` c) 15+(2x-12).3=45 `
` ⇒ (2x-12).3=30 `
` ⇒ 2x-12=10 `
` ⇒ 2x=22 `
` ⇒ x = 11 `
Vậy `x=11 `
` d) 8(x-3)=0 `
` ⇒ x-3=0 `
` ⇒ x= 3 `
Vậy ` x=3 `
Hãy giúp mọi người biết câu trả lời này thế nào?
![]()
Bảng tin