

Hãy luôn nhớ cảm ơn và vote 5*
nếu câu trả lời hữu ích nhé!
Đáp án+Giải thích các bước giải:
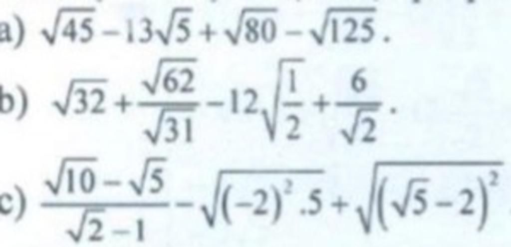
`a) \sqrt{45} - 13\sqrt{5} + \sqrt{80} - \sqrt{125}`
`= 3\sqrt{5} - 13\sqrt{5} + 4\sqrt{5} - 5\sqrt{5}`
`= -11\sqrt{5}`
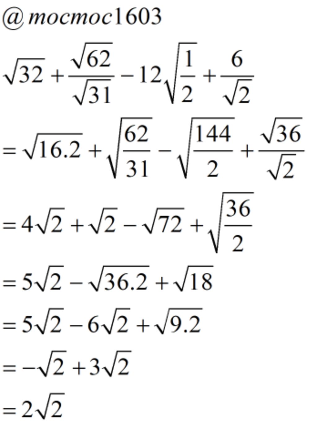
`b) \sqrt{32} + \frac{\sqrt{62}}{\sqrt{31}} - 12\sqrt{\frac{1}{2}} + \frac{6}{\sqrt{2}}`
`= 4\sqrt{2} + \sqrt{\frac{62}{31}} - 12 . \frac{1}{\sqrt{2}} + 3\sqrt{2}`
`= 4\sqrt{2} + \sqrt{2} - 6\sqrt{2} + 3\sqrt{2}`
`= 2\sqrt{2}`
`c) \frac{\sqrt{10} - \sqrt{5}}{\sqrt{2} - 1} - \sqrt{(-2)² . 5} + \sqrt{(\sqrt{5} - 2)²}`
`= \frac{\sqrt{5}(\sqrt{2} - 1)}{\sqrt{2} - 1} - 2\sqrt{5} + |\sqrt{5} - 2|`
`= \sqrt{5} - 2\sqrt{5} + \sqrt{5} - 2`
`= - 2`
Hãy giúp mọi người biết câu trả lời này thế nào?

Bảng tin