

Hãy luôn nhớ cảm ơn và vote 5*
nếu câu trả lời hữu ích nhé!
`#Thao` `Bý`
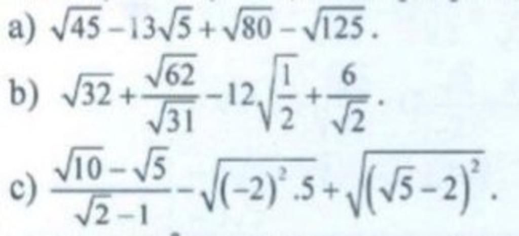
`a)`
`\sqrt{45} - 13\sqrt{5} + \sqrt{80} - \sqrt{125}`
`=\sqrt{9.5} - 13\sqrt{5}+ \sqrt{16.5 }- \sqrt{5^2 .5}`
`=3\sqrt{5} - 13\sqrt{5} + 4\sqrt{5} - 5\sqrt{5}`
`=`` (3-13+4-5)\sqrt5`
`=``-11\sqrt{5}`
`b)`
`\sqrt{32}+``\sqrt{62}/\sqrt{31}-``12\sqrt{1/2} +``6/\sqrt{2}`
`=\sqrt{16.2} + \sqrt{62/31}-12.``1/2\sqrt{2}+3\sqrt{2}`
`=4\sqrt{2} + \sqrt{2}-6 \sqrt{2}+3 \sqrt{2}`
`=(4+1-6+3)``\sqrt{2}`
`=2``\sqrt{2}`
`c)`
`(\sqrt{10}-\sqrt{5})/(\sqrt{2}-1)``-\sqrt{(-2)^2 . 5}+\sqrt{(\sqrt{5}-2)^2}`
`=(\sqrt{5}(\sqrt{2}-1))/(\sqrt{2}-1)-|-2|.\sqrt{5}+|\sqrt{5}-2|`
`=``\sqrt{5}-2\sqrt{5}+\sqrt{5}-2`
`=``-2`
Hãy giúp mọi người biết câu trả lời này thế nào?
Đáp án:`+`Giải thích các bước giải:
`a,`
`\sqrt{45}-13\sqrt{5}+\sqrt{80}-\sqrt{125}`
`=\sqrt{9.5}-13\sqrt{5}+\sqrt{16.5}-\sqrt{5^2 .5}`
`=3\sqrt{5}-13\sqrt{5}+4\sqrt{5}-5\sqrt{5}`
`=(3-13+4-5)\sqrt5`
`=-11\sqrt{5}`
`b,`
`\sqrt{32}+\sqrt{62}/\sqrt{31}-12\sqrt{1/2}+6/\sqrt{2}`
`=\sqrt{16.2}+\sqrt{62/31}-12 . 1/2\sqrt{2}+3\sqrt{2}`
`=4\sqrt{2}+\sqrt{2}-6\sqrt{2}+3\sqrt{2}`
`=(4+1-6+3)\sqrt{2}`
`=2\sqrt{2}`
`c,`
`(\sqrt{10}-\sqrt{5})/(\sqrt{2}-1)-\sqrt{(-2)^2 . 5}+\sqrt{(\sqrt{5}-2)^2}`
`=(\sqrt{5}(\sqrt{2}-1))/(\sqrt{2}-1)-|-2|.\sqrt{5}+|\sqrt{5}-2|`
`=\sqrt{5}-2\sqrt{5}+\sqrt{5}-2`
`=-2`
Hãy giúp mọi người biết câu trả lời này thế nào?
Bảng tin
1723
284
1696
Cúi cùng cũng cóa bạn cày chung >.<
80
277
64
Ráng hoi :3
1723
284
1696
Đúng òi, cày đến chừng nà òi mò
80
277
64
Gần `90` câu bỏ cx uổng =))
1723
284
1696
Thiệc
80
277
64
Z hoi t với cậu ráng cày nhaa
1723
284
1696
Oki nè, letgo