Vui lòng chỉ chọn một câu hỏi
Hoidap247.com Nhanh chóng, chính xác
+
Danh mục mới
17
1067
8
Hãy luôn nhớ cảm ơn và vote 5* nếu câu trả lời hữu ích nhé!
911
31113
1661
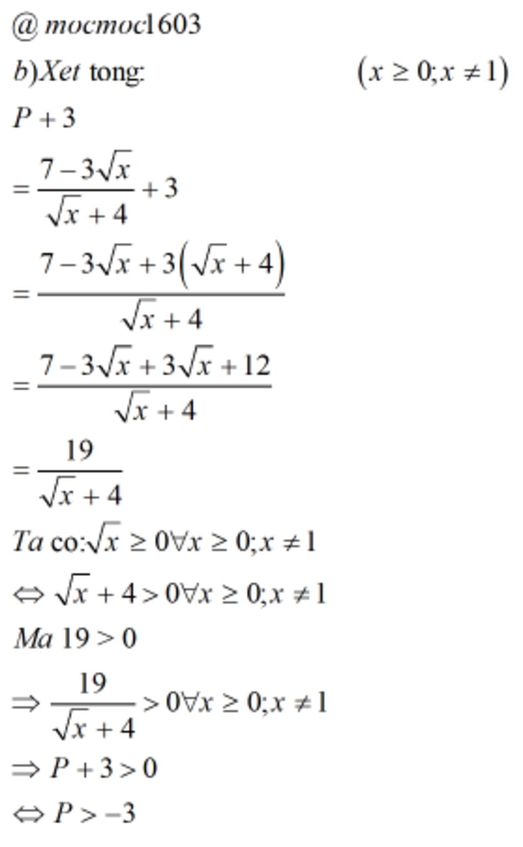
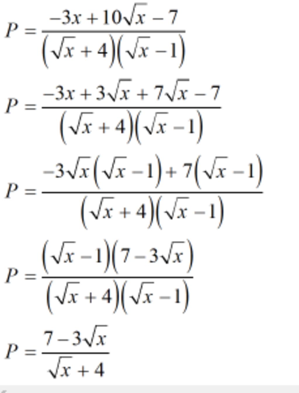
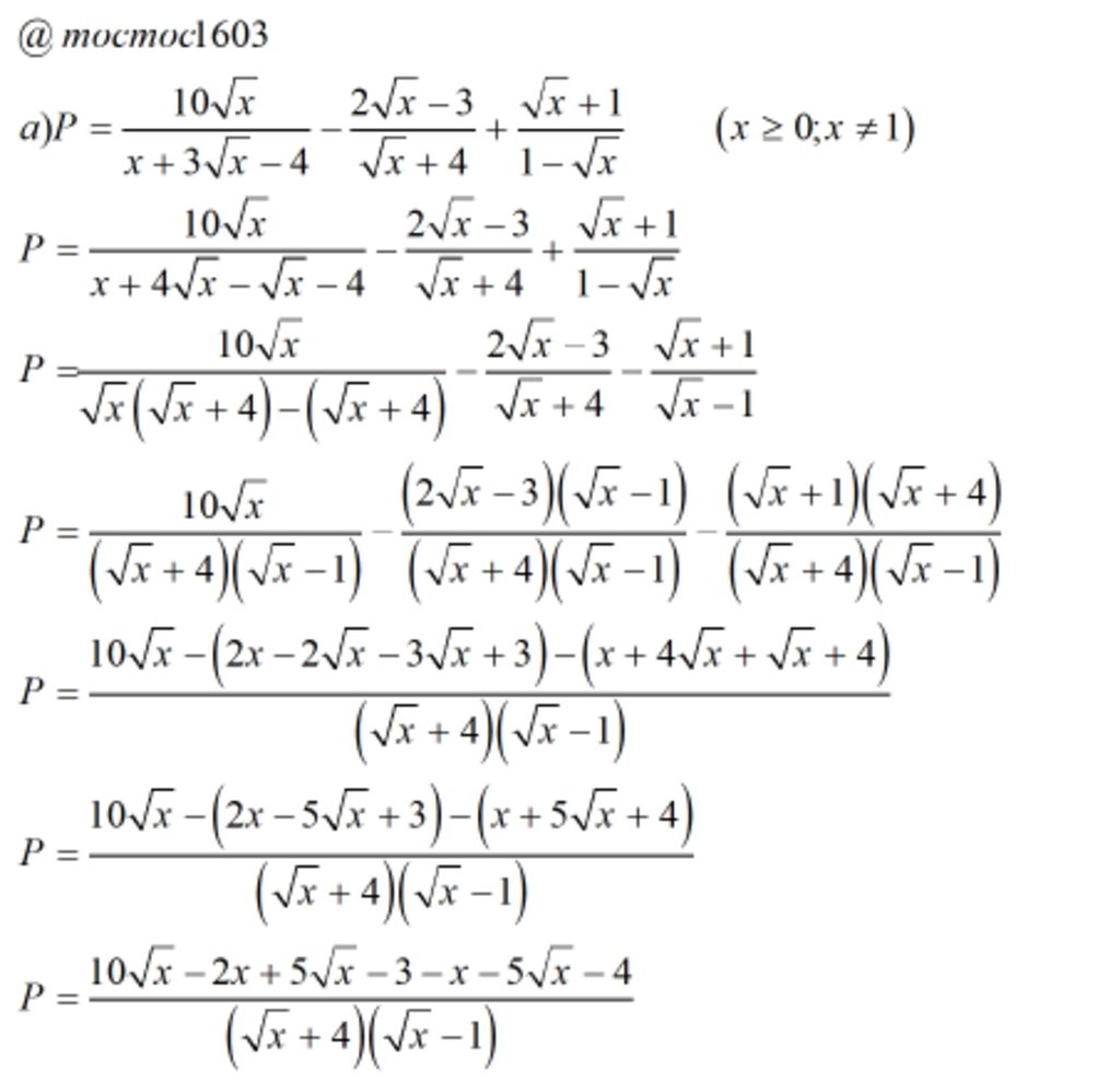
$@mocmoc1603$
$#hoctot$
Hãy giúp mọi người biết câu trả lời này thế nào?
Cho em hỏi xíu với ạ, đề bài là P>-3 sao lại phải xét tổng mà không phải xét hiệu ạ
=)))))) do nó là -3 á khi xét hiệu thì là P - (-3) thì cũng là P + 3 bằng nghĩa xét tổng á
Vâng ạ, em cảm ơn ạ
Xem thêm:
Bảng tin
Gửi yêu cầu Hủy
17
1067
8
Cho em hỏi xíu với ạ, đề bài là P>-3 sao lại phải xét tổng mà không phải xét hiệu ạ
911
31113
1661
=)))))) do nó là -3 á khi xét hiệu thì là P - (-3) thì cũng là P + 3 bằng nghĩa xét tổng á
17
1067
8
Vâng ạ, em cảm ơn ạ