

Hãy luôn nhớ cảm ơn và vote 5*
nếu câu trả lời hữu ích nhé!
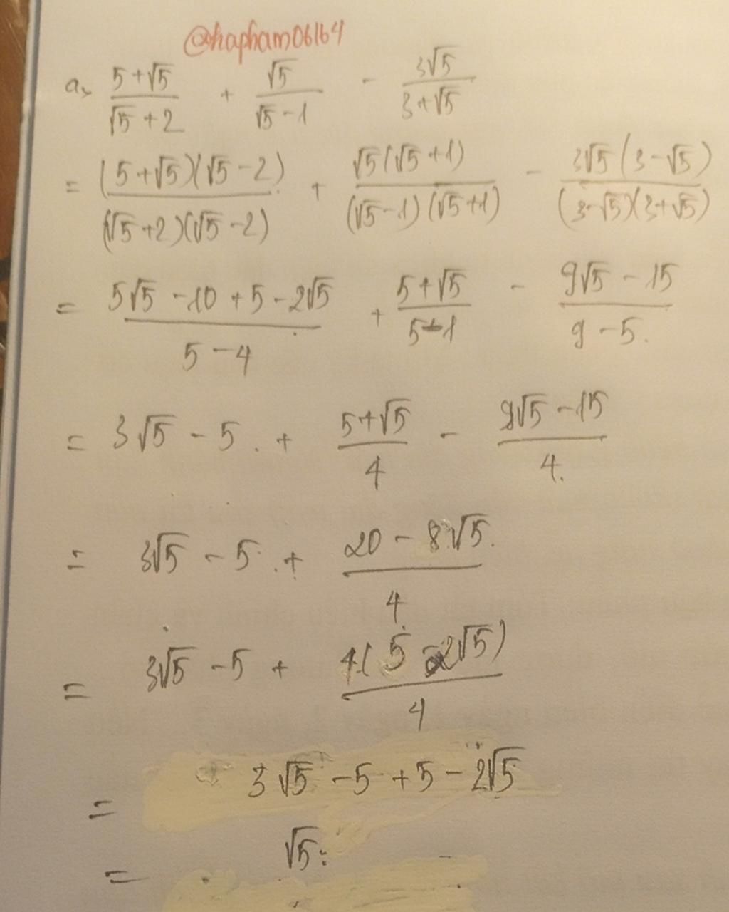
a, $\dfrac{5+\sqrt 5}{\sqrt 5+2}+\dfrac{\sqrt 5}{\sqrt 5-1}-\dfrac{3\sqrt 5}{3+\sqrt 5}\\=\dfrac{\sqrt 5(\sqrt 5+1)}{\sqrt 5+2}+\dfrac{\sqrt 5}{\sqrt 5-1}-\dfrac{3\sqrt 5}{(\sqrt 5+2)(\sqrt 5-1)}\\=\dfrac{\sqrt 5(\sqrt 5-1)(\sqrt 5+1)}{(\sqrt 5-1)(\sqrt 5+2)}+\dfrac{\sqrt 5(\sqrt 5+2)}{(\sqrt 5-1)(\sqrt 5+2)}-\dfrac{3\sqrt 5}{(\sqrt 5+2)(\sqrt 5-1)}\\=\dfrac{4\sqrt 5+5+2\sqrt 5-3\sqrt 5}{3+\sqrt 5}\\=\dfrac{5+3\sqrt 5}{3+\sqrt 5}\\=\dfrac{\sqrt 5(\sqrt 5+3)}{\sqrt 5+3}\\=\sqrt 5$
b, $\dfrac{2}{\sqrt 3-1}-\sqrt{27}+\dfrac{3}{\sqrt 3}\\=\dfrac{2(\sqrt 3+1)}{(\sqrt 3-1)(\sqrt 3+1)}-3\sqrt 3+\sqrt 3\\=\dfrac{2(\sqrt 3+1)}{2}-2\sqrt 3\\=\sqrt 3+1-2\sqrt 3\\=1-\sqrt 3$
c, $\bigg(1+\dfrac{3-\sqrt 3}{\sqrt 3-1}\bigg)\bigg(\dfrac{3+\sqrt 3}{\sqrt3+1}-1\bigg)\\=\bigg(1+\dfrac{\sqrt 3(\sqrt 3-1)}{\sqrt 3-1}\bigg)\bigg(\dfrac{\sqrt 3(\sqrt 3+1)}{\sqrt 3+1}-1\bigg)\\=(1+\sqrt 3)(\sqrt 3-1)\\=2$
d, $\bigg(\dfrac{\sqrt 6-\sqrt 2}-\dfrac{5}{\sqrt 5}\bigg):\dfrac{1}{\sqrt 5-\sqrt 2}\\=\bigg(\dfrac{-\sqrt 2(1-\sqrt 3)}{1-\sqrt 3}-\sqrt 5\bigg).(\sqrt 5-\sqrt 2)\\=(-\sqrt 5-\sqrt 2)(\sqrt 5-\sqrt 2)\\=-(\sqrt 5+\sqrt 2)(\sqrt 5-\sqrt 2)\\=-3$
Hãy giúp mọi người biết câu trả lời này thế nào?
![]()
Bảng tin