Đăng nhập để hỏi chi tiết


Hãy luôn nhớ cảm ơn và vote 5*
nếu câu trả lời hữu ích nhé!
Đáp án:
Giải thích các bước giải:
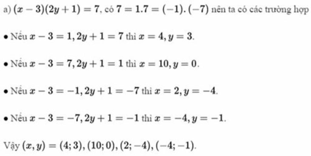
(x-3).(2y+1)=7
th1:x-3=1 ;2y+1=7
=>x=4 và y=3
th2:x-3=-1; 2y+1=-7
x=-2; y=-4
th3:x-3=7;2y+1=1
=>x=1=; x=0
th4:x-3=-7; 2y+1=-1
=>x=-4;y=-1
mấy cái xanh ở dưới là dòng ko phải trong đề nha
(2x+1)(3y-2) = -55
vì x,y thuộc Z => 2x+1 thuộc Z và 3y-2 thuộc Z
nên (2x+1)(3y-2) = 1.(-55)= (-1).55=5.(-11)=(-5).11=(-55).1=55.(-1)=(-11).5=11.(-5)
ta có bảng sau:
Hãy giúp mọi người biết câu trả lời này thế nào?
Bảng tin