

Hãy luôn nhớ cảm ơn và vote 5*
nếu câu trả lời hữu ích nhé!

Đáp án:
$\begin{array}{l}
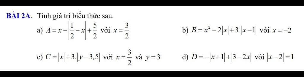
a)A = x - \left| {\dfrac{1}{2} - x} \right| + \dfrac{5}{2}\\
= \dfrac{3}{2} - \left| {\dfrac{1}{2} - \dfrac{3}{2}} \right| + \dfrac{5}{2}\left( {do:x = \dfrac{3}{2}} \right)\\
= \dfrac{3}{2} + \dfrac{5}{2} - \left| { - \dfrac{2}{2}} \right|\\
= \dfrac{8}{2} - 1\\
= 4 - 1\\
= 3\\
b)B = {x^2} - 2\left| x \right| + 3\left| {x - 1} \right|\\
= {\left( { - 2} \right)^2} - 2.\left| { - 2} \right| + 3\left| { - 2 - 1} \right|\\
= 4 - 2.2 + 3.\left| { - 3} \right|\\
= 4 - 4 + 3.3\\
= 9\\
c)C = \left| x \right| + 3\left| {y - 3,5} \right|\\
= \left| {\dfrac{3}{2}} \right| + 3.\left| {3 - 3,5} \right|\\
= 1,5 + 3.\left| {0,5} \right|\\
= 1,5 + 3.0,5\\
= 1,5 + 1,5\\
= 3\\
d)\left| {x - 2} \right| = 1\\
\Leftrightarrow \left[ \begin{array}{l}
x - 2 = 1\\
x - 2 = - 1
\end{array} \right.\\
\Leftrightarrow \left[ \begin{array}{l}
x = 3\\
x = 1
\end{array} \right.\\
+ Khi:x = 1\\
D = - \left| {x + 1} \right| + \left| {3 - 2x} \right|\\
= - \left| {1 + 1} \right| + \left| {3 - 2.1} \right|\\
= - \left| 2 \right| + \left| 1 \right|\\
= - 2 + 1\\
= - 1\\
+ Khi:x = 3\\
\Leftrightarrow D = - \left| {3 + 1} \right| + \left| {3 - 2.3} \right|\\
= - \left| 4 \right| + \left| { - 3} \right|\\
= - 4 + 3\\
= - 1
\end{array}$
Hãy giúp mọi người biết câu trả lời này thế nào?

Bảng tin