Đăng nhập để hỏi chi tiết


Hãy luôn nhớ cảm ơn và vote 5*
nếu câu trả lời hữu ích nhé!
Answer:
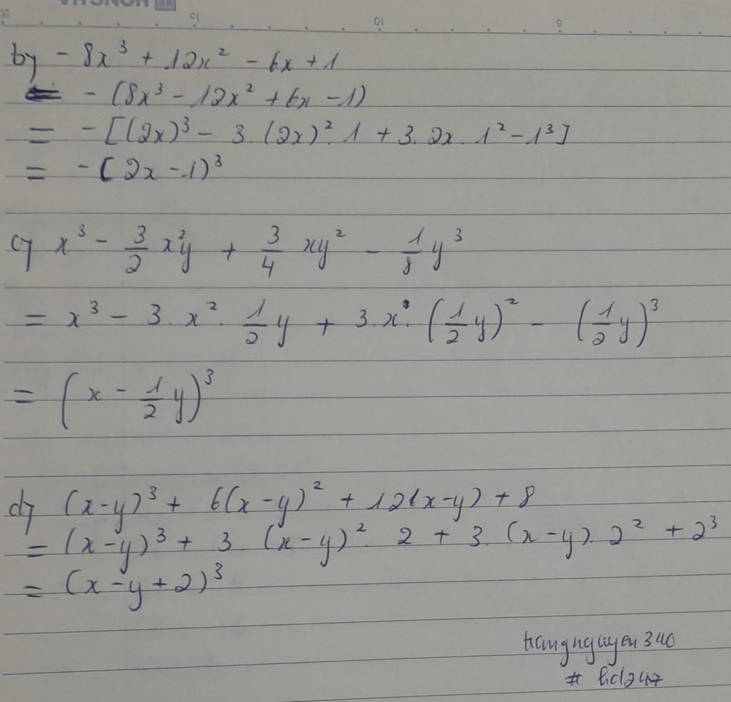
$\color{red}{b)}$
`-8x^3 + 12x - 6x + 1`
`= -(8x^3 + 12x - 6x + 1)`
`= -[(2x)^3 - 3.(2x)^2.1 + 3.2x.1^2 - 1^3]`
`= -(2x - 1)^3`
$\color{red}{c)}$
`x^3 - 3/2x^2y + 3/4xy^2 - 1/8y^3`
`= [x^3 - 3.x^2.1/2y + 3.x.(1/2y)^2 - (1/2y)^3]`
`= (x-1/2y)^3`
$\color{red}{d)}$
`(x-y)^3 + 6(x-y)^3 + 12(x-y)+8`
`= [(x-y)^3 + 3.(x-y)^2.2 + 3.(x-y).2^2 + 2^3]`
`= [(x-y)+2]^3`
`= (x-y+2)^3`
Hãy giúp mọi người biết câu trả lời này thế nào?
![]()
Bảng tin