

Hãy luôn nhớ cảm ơn và vote 5*
nếu câu trả lời hữu ích nhé!
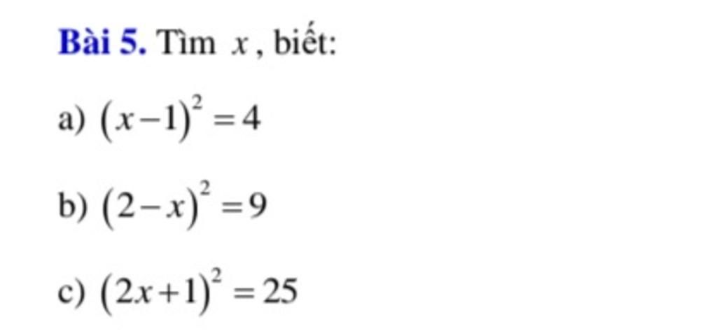
Đáp án:
`a)`
`(x-1)^2=4`
`=>(x-1)^2-4=0`
`=>(x-1)^2-2^2=0`
`=>(x-1-2)(x-1+2)=0`
`=>(x-3)(x+1)=0`
`=>` \(\left[ \begin{array}{l}x-3=0\\x+1=0\end{array} \right.\) `=>` \(\left[ \begin{array}{l}x=3\\x=-1\end{array} \right.\)
Vậy `x\in{-1;3}`
`b)`
`(2-x)^2=9`
`=>(2-x)^2-9=0`
`=>(2-x)^2-3^2=0`
`=>(2-x-3)(2-x+3)=0`
`=>(-x-1)(5-x)=0`
`=>-(x+1)(5-x)=0`
`=>` \(\left[ \begin{array}{l}x+1=0\\5-x=0\end{array} \right.\) `=>` \(\left[ \begin{array}{l}x=-1\\x=5\end{array} \right.\)
Vậy `x\in{-1;5}`
`c)`
`(2x+1)^2=25`
`=>(2x+1)^2-25=0`
`=>(2x+1)^2-5^2=0`
`=>(2x+1-5)(2x+1+5)=0`
`=>(2x-4)(2x+6)=0`
`=>2(x-2).2(x+3)=0`
`=>4(x-2)(x+3)=0`
`=>` \(\left[ \begin{array}{l}x-2=0\\x+3=0\end{array} \right.\) `=>` \(\left[ \begin{array}{l}x=2\\x=-3\end{array} \right.\)
Vậy `x\in{-3;2}`
--Áp dụng HĐT: `A^2-B^2=(A-B)(A+B)`
Hãy giúp mọi người biết câu trả lời này thế nào?

Bảng tin