

Hãy luôn nhớ cảm ơn và vote 5*
nếu câu trả lời hữu ích nhé!
Đáp án:
Giải thích các bước giải:
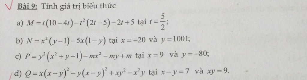
` a) M=t(10-4t)-t^2 (2t-5) -2t+5`
`M= 2t(5-2t) +t^2 (5-2t) +(5-2t)`
`M=(t^2 +2t+1)(5-2t)`
`M = (t+1)^2 (5-2t)`
Thay `t=5/2` vào `M` ta được`:`
`M= (5/2 +1)^2 (5-2. 5/2)`
`M= (5/2 +1)^2 .(5-5)`
`M = (5/2 +1)^2 .0`
`M=0 `
Vậy `M=0` khi `t=5/2`
`b) N=x^2 (y-1)-5x(1-y)`
`N= x^2 (y-1)+5x(y-1)`
`N=(x^2 +5x)(y-1)`
`N= x(x+5)(y-1)`
Thay `x=-20;y=1001` vào `N` ta được`:`
`N = -20(5-20)(1001-1)`
`N=-20 . (-15) .1000`
`N = 300 .1000`
`N=300000`
Vậy `N=300000` khi `x=-20;y=1001`
`c) P=y^2 (x^2 +y-1)-mx^2 -my+m`
`P =y^2 (x^2 +y-1) -m(x^2 +y-1)`
`P = (y^2 -m)(x^2 +y-1)`
Thay `x=9;y=-80` vào `P` ta được`:`
`P =[(-80)^2 -m](9^2 -80-1)`
`P = [(-80)^2 -m](81 -81)`
`P = [(-80)^2 -m] . 0`
`P=0`
Vậy `P=0` khi `x=9;y=-80`
`d) Q = x(x-y)^2 -y(x-y)^2 +xy^2 -x^2y`
`Q = x(x-y)^2 -y(x-y)^2 -xy(x-y)`
`Q = (x-y)(x-y)^2 -xy(x-y)`
`Q = (x-y)^3 -xy(x-y)`
Thay `x-y=7 ; xy=9` vào `Q` ta được`:`
`Q= 7^3 -9.7`
`Q =343 - 63`
`Q = 280`
Vậy `Q =280` khi `x-y=7;xy=9`
Hãy giúp mọi người biết câu trả lời này thế nào?
![]()
Bảng tin