

Hãy luôn nhớ cảm ơn và vote 5*
nếu câu trả lời hữu ích nhé!
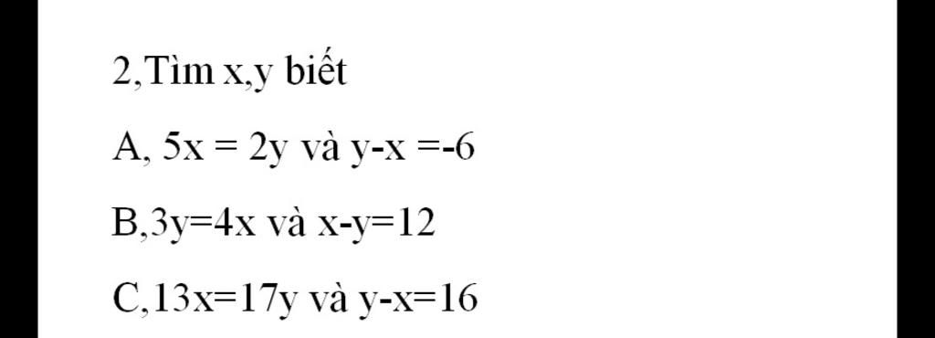
Đáp án+Giải thích các bước giải:
`a) 5x = 2y`
`⇒ \frac{x}{2} = \frac{y}{5}`
Áp dụng tính chất của dãy tỉ số bằng nhau ta có :
`\frac{y}{5} = \frac{x}{2} = \frac{y - x}{5 - 2} = \frac{ - 6}{3} = - 2`
`⇒ x = - 2 . 2 = - 4`
`y = - 2 . 5 = - 10`
Vậy `x = - 4 ; y = - 10`
`b) 3y = 4x`
`⇒ \frac{x}{3} = \frac{y}{4}`
Áp dụng tính chất của dãy tỉ số bằng nhau ta có :
`\frac{x}{3} = \frac{y}{4} = \frac{x - y }{3 - 4} = \frac{12}{-1} = - 12`
`⇒ x = - 12 . 3 = - 36`
`y = - 12 . 4 = - 48`
Vậy `x = - 36 ; y = - 48`
`c) 13x = 17y`
`⇒ \frac{x}{17} = \frac{y}{13}`
Áp dụng tính chất của dãy tỉ số bằng nhau ta có :
`\frac{y}{13} = \frac{x}{17} = \frac{y - x}{13 - 17} = \frac{16}{-4} = - 4`
`⇒ x = - 4 . 17 = - 68`
`y = - 4 . 13 = - 52`
Vậy `x = - 68 ; y = - 52`
Hãy giúp mọi người biết câu trả lời này thế nào?

Bảng tin
164
1677
232
that ak ban
199
4247
130
Gi ah ?
164
1677
232
Bạn học dãy tỉ số = nhau chx bạn
199
4247
130
Đã học Bạn cx khong có yc ngay từ đâu là dùng cách lớp mấy vì bạn dùng câu hỏi lớp 8
164
1677
232
Bạn có thể sửa lại bài làm của mik đc ko bạn
199
4247
130
Được
199
4247
130
Đã sửa
164
1677
232
phải thế chư bạn nhưng hơi lâu tí