Tham Gia Group Dành Cho Lớp 9 - Ôn Thi Vào Lớp 10 Miễn Phí
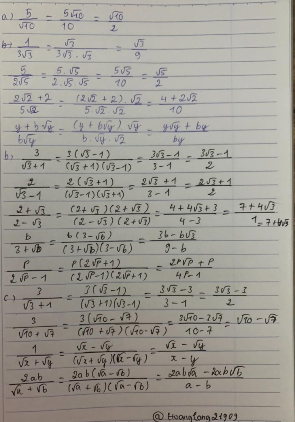
Bài 6: Trục căn thức ở mẫu của các biểu thức sau (giả thiết rằng các biểu thức
cho có nghĩa):
5
10
a
b)-
2)√3+1²
3
√√3+1
√5-√3.
√√2
;
d)-
1
e) +√3+√2 +1²
1
3√3
2
33-1
3
√10+
26
5-2√3
;
1
√5-√3+2
5
2√√5
2+√3.
2-√3
1
√x + √5
2√10-5
4-√10
2√2 +2.
5√2
b
3+√b
2ab
√₂+√b
9-2√3
3√6-2√2
y+b√y
b ...
3
285
1
Thank kìu