

Hãy luôn nhớ cảm ơn và vote 5*
nếu câu trả lời hữu ích nhé!
Đáp án`+`Giải thích các bước giải:
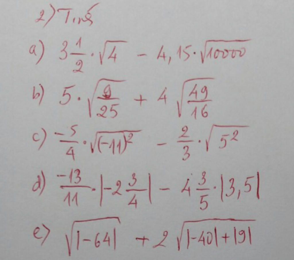
`a,`
`3 1/2. \sqrt{4}-4,15. \sqrt{10000}`
`=7/2. 2-4,15. 100`
`=7-415`
`=-408`
`b,`
`5. \sqrt{9/25}+4. \sqrt{49/16}`
`=5. 3/5+4. 7/4`
`=3+7`
`=10`
`c,`
`(-5)/4. \sqrt{(-11)^2}-2/3. \sqrt{5^2}`
`=(-5)/4. \sqrt{121}-2/3. \sqrt{25}`
`=(-5)/4. 11-2/3. 5`
`=(-55)/4-10/3`
`=(-165)/12-40/12`
`=(-205)/12`
`d,`
`(-13)/11. |-2 3/4|-4 3/5. |3,5|`
`=(-13)/11. |-11/4|-23/5. |7/2|`
`=(-13)/11. 11/4-23/5. 7/2`
`=(-13)/4-161/10`
`=(-65)/20-322/20`
`=(-387)/20`
`e,`
`\sqrt{|-64|} +2. \sqrt{|-40|+|9|}`
`=\sqrt{64} +2. \sqrt{40+9}`
`=8+2. \sqrt{49}`
`=8+2. 7`
`=8+14`
`=22`
Hãy giúp mọi người biết câu trả lời này thế nào?
![]()
Đáp án `+` Giải thích các bước giải:
`a) 3 1/2 . \sqrt{4} - 4,15 . \sqrt{10 000}`
`= 7/2 . 2 - 83/20 . 100`
`= 7 - 415=-408`
`b) 5. \sqrt{\frac{9}{25}} + 4 \sqrt{\frac{49}{16}}`
`= 5. \sqrt{\frac{3^2}{5^2}} + 4 \sqrt{\frac{7^2}{4^2}}`
`= 5. 3/5 + 4. 7/4`
`= 3 + 7 =10`
`c) -5/4 . \sqrt{(-11)^2} - 2/3 . \sqrt{5^2}`
`= -5/4 . 11 - 2/3 . 5`
`= -55/4 - 10/3`
`= -205/12`
`d) -13/11 . |-2 3/4| - 4 3/5 . |3,5|`
`= -13/11 . |-11/4| - 23/5 . |7/2|`
`= -13/11 . 11/4 - 23/5 . 7/2`
`= -13/4 -161/10`
`= -387/20`
`e) \sqrt{|-64|} + 2 \sqrt{|-40|+|9|}`
`= \sqrt{64} + 2 \sqrt{49}`
`= 8 + 2.7`
`= 8+14=22`
Hãy giúp mọi người biết câu trả lời này thế nào?
![]()
Bảng tin