

Hãy luôn nhớ cảm ơn và vote 5*
nếu câu trả lời hữu ích nhé!
Đáp án:
Bạn tham khảo
Giải thích các bước giải:
Study well
Hãy giúp mọi người biết câu trả lời này thế nào?

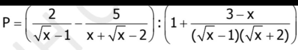
`P= (2/(sqrtx -1)-5/(x+sqrtx -2)): (1+ (3-x)/((sqrtx -1)(sqrtx +2)))` `(đk: x ≥0; x ne 1)`
`= (2(sqrtx +2)-5)/((sqrtx -1)(sqrtx +2)): ((sqrtx -1)(sqrtx +2)+3-x)/((sqrtx -1)(sqrtx +2))`
`= (2sqrtx +4-5)/((sqrtx -1)(sqrtx +2)) : (x+sqrtx -2 +3-x)/((sqrtx -1)(sqrtx +2))`
`= (2sqrtx -1)/((sqrtx -1)(sqrtx +2)) :(sqrtx +1)/((sqrtx -1)(sqrtx +2))`
`= (2sqrtx -1)/((sqrtx -1)(sqrtx +2)) . ((sqrtx -1)(sqrtx +2))/(sqrtx +1)`
`= (2sqrtx -1)/(sqrtx +1)`
Vậy với `x ≥0; xne 1` thì `P= (2sqrtx -1)/(sqrtx +1)`
Hãy giúp mọi người biết câu trả lời này thế nào?

Bảng tin