

Hãy luôn nhớ cảm ơn và vote 5*
nếu câu trả lời hữu ích nhé!

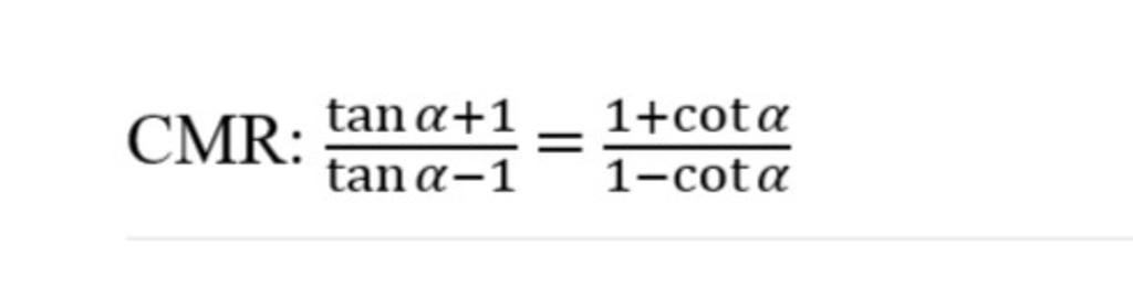
Giải thích các bước giải:
Ta có:
$\begin{array}{l} VT = \dfrac{{\tan \alpha + 1}}{{\tan \alpha - 1}} = \dfrac{{\dfrac{{\sin \alpha }}{{cos\alpha }} + 1}}{{\dfrac{{\sin \alpha }}{{cos\alpha }} - 1}} = \dfrac{{\dfrac{{\sin \alpha + cos\alpha }}{{cos\alpha }}}}{{\dfrac{{\sin \alpha - cos\alpha }}{{cos\alpha }}}} = \dfrac{{\sin \alpha + cos\alpha }}{{\sin \alpha - cos\alpha }}\\ VP = \dfrac{{1 + \cot \alpha }}{{1 - \cot \alpha }} = \dfrac{{1 + \dfrac{{cos\alpha }}{{\sin \alpha }}}}{{1 - \dfrac{{cos\alpha }}{{\sin \alpha }}}} = \dfrac{{\dfrac{{\sin \alpha + cos\alpha }}{{\sin \alpha }}}}{{\dfrac{{\sin \alpha - cos\alpha }}{{\sin \alpha }}}} = \dfrac{{\sin \alpha + cos\alpha }}{{\sin \alpha - cos\alpha }} \end{array}$
`=> VT=VP`
Vậy đẳng thức được chứng minh
Hãy giúp mọi người biết câu trả lời này thế nào?

Bảng tin