

Hãy luôn nhớ cảm ơn và vote 5*
nếu câu trả lời hữu ích nhé!
Đáp án:`+`Giải thích các bước giải:
ĐK: `x>=0;x ne 1/9`
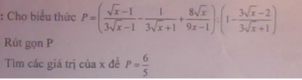
`P=((\sqrt{x}-1)/(3\sqrt{x}-1)-1/(3\sqrt{x}+1)+(8\sqrt{x})/(9x-1)):(1-(3\sqrt{x}-1)/(3\sqrt{x}+1))`
`=((\sqrt{x}-1)(3\sqrt{x}+1)-(3\sqrt{x}-1)+8\sqrt{x})/(9x-1) : (3\sqrt{x}+1-3\sqrt{x}+2)/(3\sqrt{x}+1)`
`=(3x+\sqrt{x}-3\sqrt{x}-1-3\sqrt{x}+1+8\sqrt{x})/(9x-1) . (3\sqrt{x}+1)/3`
`=(3x+3\sqrt{x})/((3\sqrt{x}-1)(3\sqrt{x}+1)) . (3\sqrt{x}+1)/3`
`=(3(x+\sqrt{x}))/((3\sqrt{x}-1)(3\sqrt{x}+1)) . (3\sqrt{x}+1)/3`
`=(3(x+\sqrt{x}))/(3\sqrt{x}-1) . 1/3`
`=(x+\sqrt{x})/(3\sqrt{x}-1)`
Vậy `P=(x+\sqrt{x})/(3\sqrt{x}-1)` với `x>=0;x ne 1/9`
Để `P=6/5`
Nên `(x+\sqrt{x})/(3\sqrt{x}-1)=6/5`
`<=>5(x+\sqrt{x})=6(3\sqrt{x}-1)`
`<=>5x+5\sqrt{x}=18\sqrt{x}-6`
`<=>5x+5\sqrt{x}-18\sqrt{x}+6=0`
`<=>5x-13\sqrt{x}+6=0`
`<=>(\sqrt{x}-2)(5\sqrt{x}-3)=0`
`<=>` \(\left[ \begin{array}{l}x=4\\x=9/25\end{array} \right.\) `(tm)`
Vậy `x in {4;9/25}` khi `P=6/5`
Hãy giúp mọi người biết câu trả lời này thế nào?
Bảng tin