Đăng nhập để hỏi chi tiết


Hãy luôn nhớ cảm ơn và vote 5*
nếu câu trả lời hữu ích nhé!
Đáp án `+` Giải thích các bước giải:
Ta có:
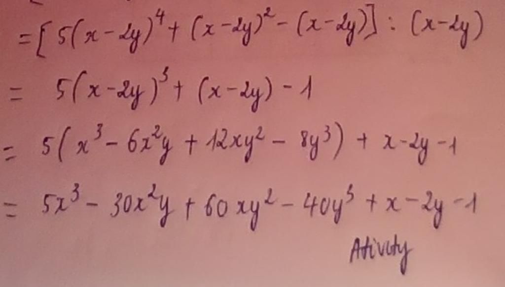
`[5(x-2y)^{4} + (x-2y)^{2}+2y-x]:(x-2y)`
`=[5(x-2y)^{4}+(x-2y)^{2}-(x-2y)]:(x-2y)`
`=5(x-2y)^{3}+(X-2y)-1`
`=5(x^{3}-6x^{2}y+12xy^{2}-8y^{3})+x-2y-1`
`=5x^{3}-30x^{2}y+60xy^{2}-40y^{3}+x-2y-1`
Hãy giúp mọi người biết câu trả lời này thế nào?
![]()
Bảng tin