Vui lòng chỉ chọn một câu hỏi
Hoidap247.com Nhanh chóng, chính xác
+
Danh mục mới
0
22
Hãy luôn nhớ cảm ơn và vote 5* nếu câu trả lời hữu ích nhé!
3814
61097
6203
Đáp án + Giải thích các bước giải:
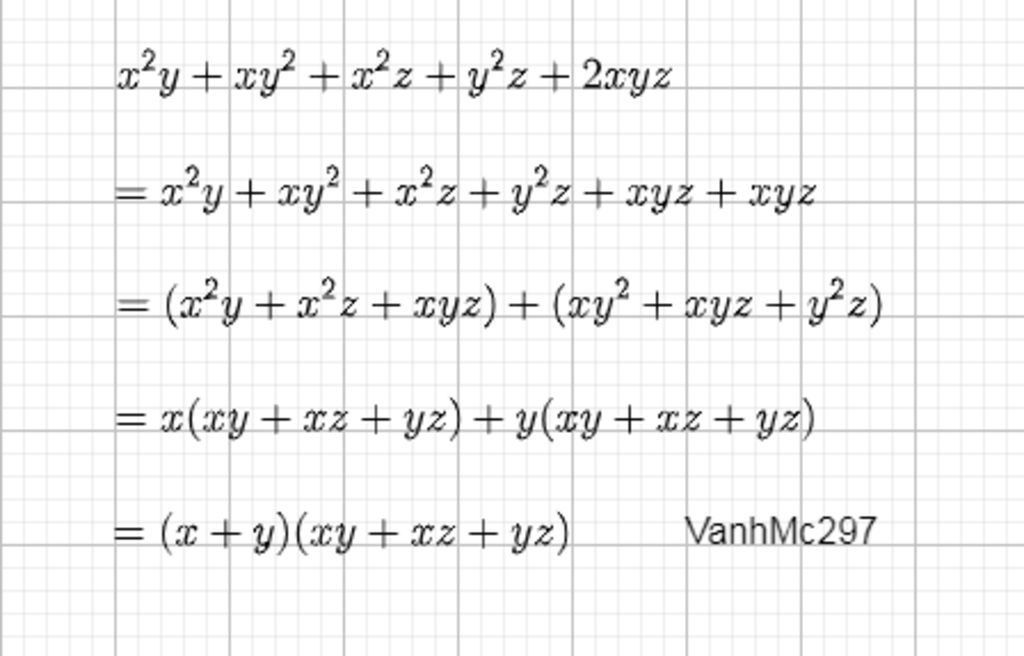
`x^2y + xy^2 + x^2z + y^2z + 2xyz`
`= x^2y + xy^2 + x^2z + y^2z + xyz + xyz`
`= (x^2y + x^2z + xyz) + (xy^2 + y^2z + xyz)`
`= x(xy + xz + yz) + y(xy + yz + xz)`
`= (x + y)(xy + xz + yz )`
Hãy giúp mọi người biết câu trả lời này thế nào?
3405
68098
2140
Cho mình hỏi dòng thứ 3 bạn lấy `xz^2` và `yz^2` ở đâu vậy ?
để bài cho mà bạn
Đề là `x^2 z` và `y^2 z` mà ?
coi như nhầm đề 😕🙂😀
Haha ... ))
Bảng tin
Gửi yêu cầu Hủy
3405
68098
2140
Cho mình hỏi dòng thứ 3 bạn lấy `xz^2` và `yz^2` ở đâu vậy ?
3814
61097
6203
để bài cho mà bạn
3405
68098
2140
Đề là `x^2 z` và `y^2 z` mà ?
3814
61097
6203
coi như nhầm đề 😕🙂😀
3405
68098
2140
Haha ... ))