

Hãy luôn nhớ cảm ơn và vote 5*
nếu câu trả lời hữu ích nhé!

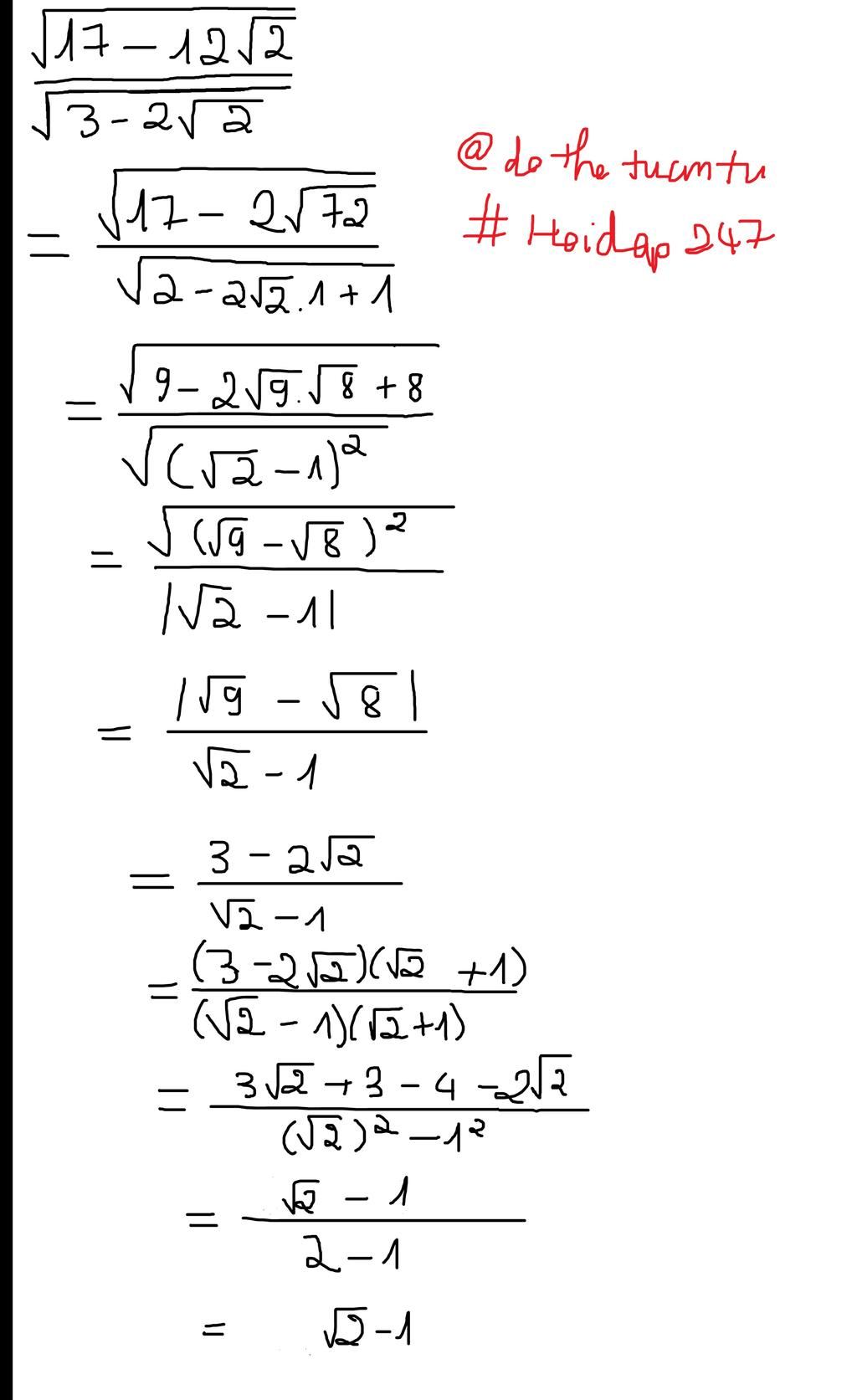
Đáp án:
$\sqrt{2}-1.$
Giải thích các bước giải:
$\dfrac{\sqrt{17-12\sqrt{2}}}{\sqrt{3-2\sqrt{2}}}\\ =\dfrac{\sqrt{9-2.3.2\sqrt{2}+8}}{\sqrt{3-2\sqrt{2}}}\\ =\dfrac{\sqrt{(3-2\sqrt{2})^2}}{\sqrt{3-2\sqrt{2}}}\\ =\dfrac{|3-2\sqrt{2}|}{\sqrt{3-2\sqrt{2}}}\\ =\dfrac{3-2\sqrt{2}}{\sqrt{3-2\sqrt{2}}}\\ =\sqrt{3-2\sqrt{2}}\\ =\sqrt{2-2\sqrt{2}+1}\\ =\sqrt{(\sqrt{2}-1)^2}\\ =|\sqrt{2}-1|\\ =\sqrt{2}-1.$
Hãy giúp mọi người biết câu trả lời này thế nào?

Bảng tin
273
6330
179
tks nhiều ạ