Câu 4: Tính nhanh: Help me pls
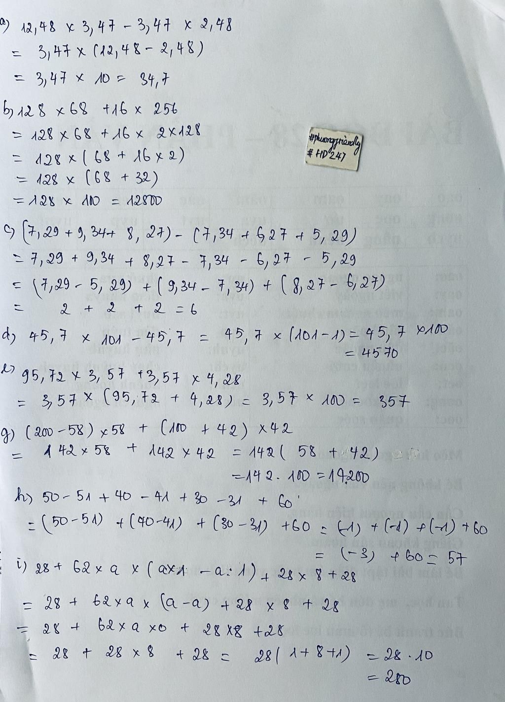
a) 12,48 x 3,47 3,47 x 2,48
b) 128 x 68 + 16 x 256
c) (7,29 + 9,34 + 8,27) (7,34 + 6,27 + 5,29)
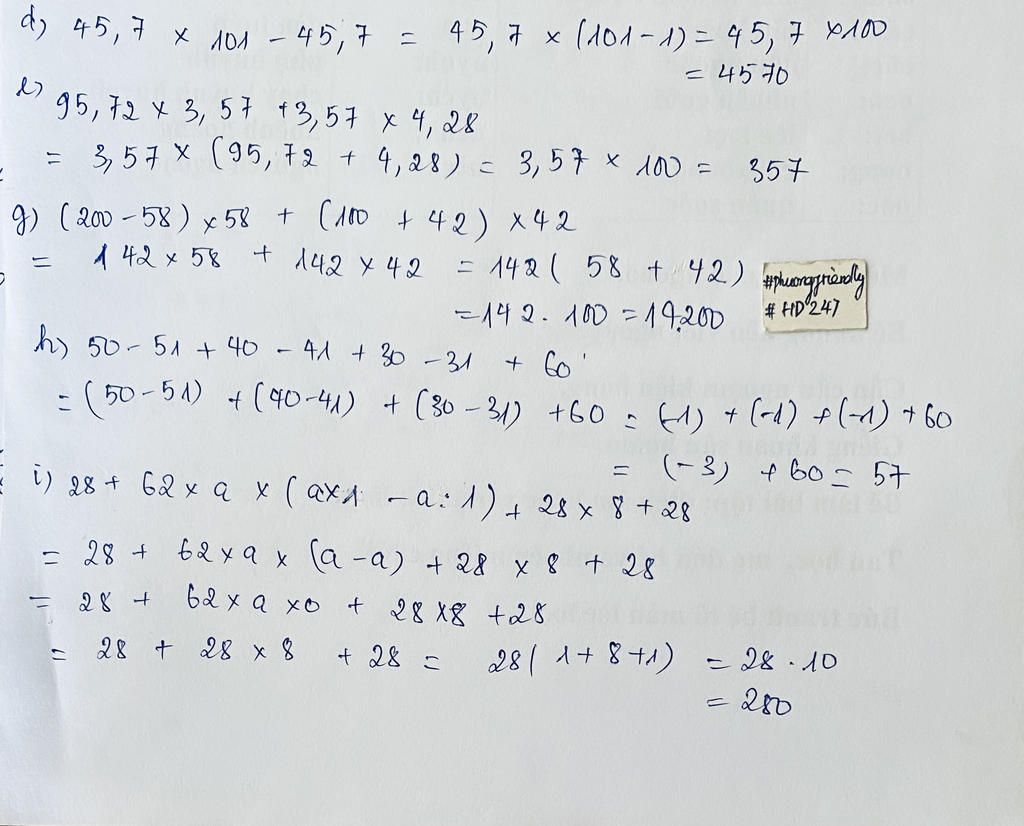
d) 45,7 x 101 45,7
e) 95,72 x 3,57 + 3,57 x 4,28
g) (200 - 58) x 58 + (100 + 42) x 42
h) 50 51 + 40 41 + 30 31 + 60
i) 28 + 62 x a x ( a x 1 a : 1) + 28 x 8 + 28
2212
8203
2087
https://hoidap247.com/cau-hoi/4802897 help
1
75
1
bạn ơi con g nó cứ sai sai í
1
75
1
bị nhầm vị trí hay sao í
11995
225817
11878
Để mik xem lại nha
1
75
1
ok mik tự sửa đc rồi
11995
225817
11878
Ra 14200 bn nhé
1
75
1
https://hoidap247.com/cau-hoi/4805843 help me