Bài 1. Tính.
a)-3x (x - 1)
b)(1-2x)(x²-x+1)
d)(x-4)
e)(x+2)'
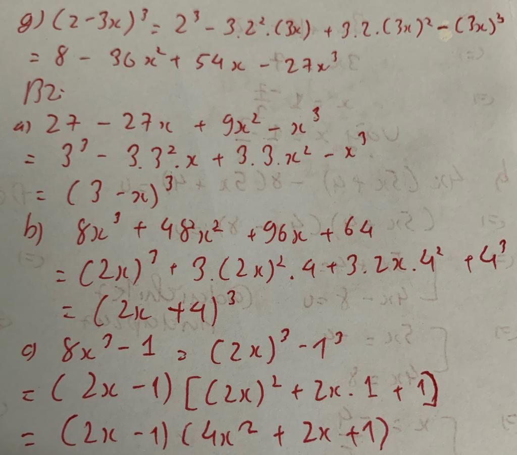
Bài 2. Viết các biểu thức sau dưới dạng tích.
a)27-27x+9x² - x²
b)8x³ +48x² +96x+64
d)8+27x³
c)8x³ -1
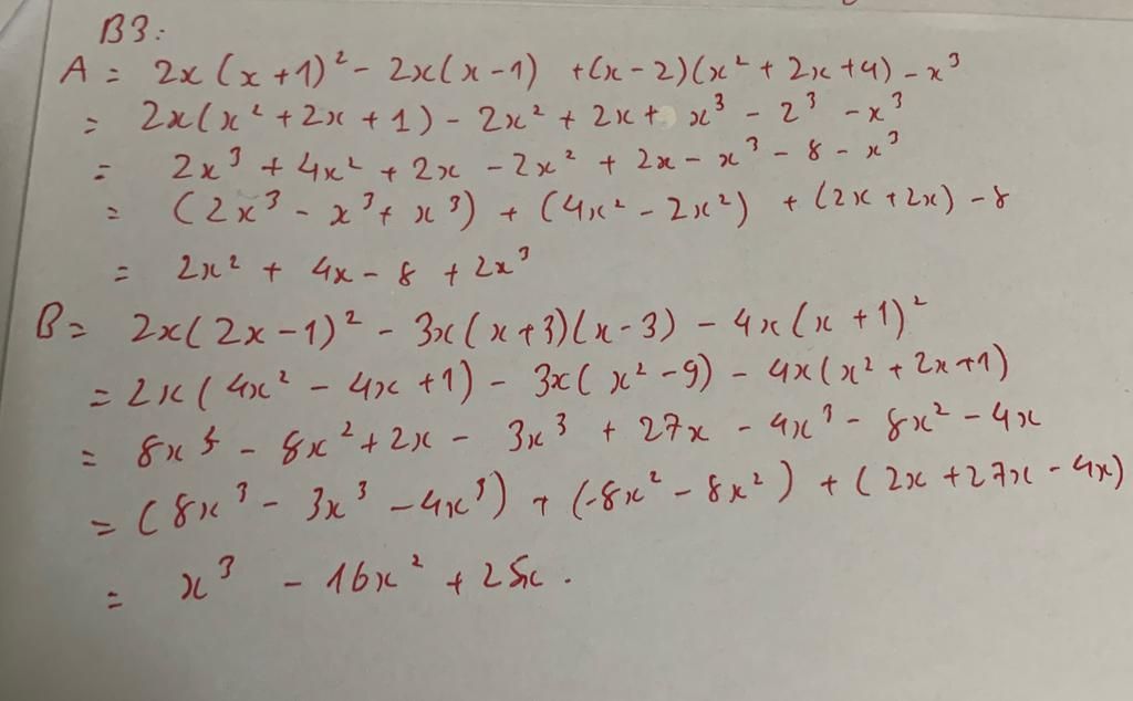
Bài 3. Rút gọn các biểu thức sau
A=
2x(x+1)-2x(x-1)+(x-2)(x²+2x+4)=x²
B=2x(2x-1)-3x(x+3)(x-3)-4x(x+1)²
c)(1+3x)²
g)(2-3x)³