

Hãy luôn nhớ cảm ơn và vote 5*
nếu câu trả lời hữu ích nhé!
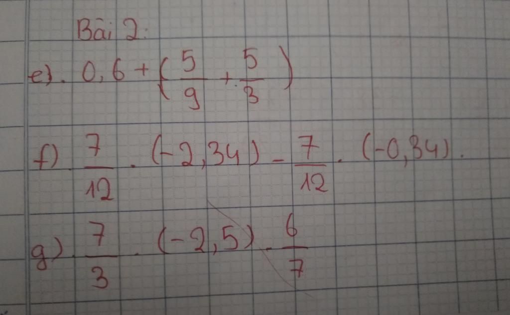
`e) 0,6 + (5/9 + 5/3)`
`= 3/5 + 5/9 + 5/3`
`= 27/45 + 25/45 + 75/45`
`= 127/45`
`f) 7/12 . (-2,34) - 7/12 . (-0,34)`
`= 7/12 . [(-2,34) - (-0,34)]`
`= 7/12 . [(-2,34) + 0,34]`
`= 7/12 . (-2)`
`= -7/6`
`g) 7/3 . (-2,5) . 6/7`
`= 7/3 . 6/7 . (-2,5)`
`= 2 . (-2,5)`
`= - 5`
Hãy giúp mọi người biết câu trả lời này thế nào?
`e,`
`0,6 + (5/9 + 5/3)`
`= 0,6 + (5/9 + 15/9)`
`= 0,6 + 20/9`
`= 6/10 + 20/9`
`= 54/90 + 200/90`
`= 254/90`
` = (25,4)/9`
`f,`
`7/12 . (-2,34) - 7/12 . (-0,34)`
`= 7/12 . [-2,34-(-0,34)]`
`= 7/12 . (-2,34 + 0,34)`
`= 7/12 . (-2)`
`= (-7)/6`
`g,`
`7/3 . (-2,5) - 6/7`
`= (-35)/6 - 6/7`
`= (-245)/42 - 36/42`
`= (-281)/42`
#Hattori Heiji
#Hoidap247
Hãy giúp mọi người biết câu trả lời này thế nào?
Bảng tin