

Hãy luôn nhớ cảm ơn và vote 5*
nếu câu trả lời hữu ích nhé!
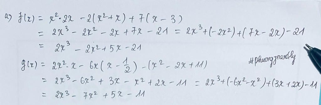
Đáp án:
Giải thích các bước giải:
`f(x) = x^2 * 2x - 2(x^2 + x) + 7(x - 3)`
`f(x) = 2x^3 - 2x^2 - 2x + 7x - 21`
`f(x) = 2x^3 - 2x^2 + 5x - 21`
`_____________`
`g(x) = 2x^2 * x - 6x(x - 1/2) - (x^2 - 2x + 11)`
`g(x) = 2x^2 * x - 6x(x - 1/2) - x^2 + 2x - 11`
`g(x) = 2x^2 * x - 6x^2 - 3x - x^2 + 2x - 11`
`g(x) = 2x^3 + (-6x^2 - x^2) + (-3x + 2x) - 11`
`g(x) = 2x^3 - 7x^2 - x - 11`
Hãy giúp mọi người biết câu trả lời này thế nào?

Bảng tin