

Hãy luôn nhớ cảm ơn và vote 5*
nếu câu trả lời hữu ích nhé!
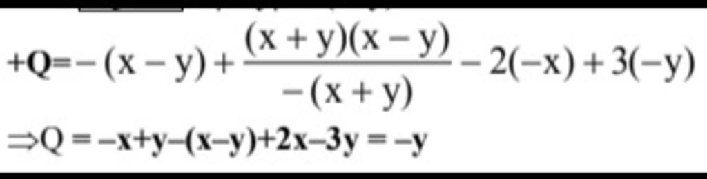
Đáp án+Giải thích các bước giải:
`Q=-(x-y)+((x+y)(x-y))/(-(x+y))-2(-x)+3(-y)`
`=-x+y+(-(x+y)(y-x))/(-(x+y))-(-2x)+(-3y)`
`=-x+y+(y-x)+2x-3y`
`=-x+y-[-(y-x)]+2x-3y`
`=-x+y-(x-y)+2x-3y`
`=-x+yy-x+y+2x-3y`
`=(-x-x+2x)+(y+y-3y)`
`=0+(-y)`
`=-y`
Vậy `Q=-y`
`->` Áp dụng :
`(A.B)/(B.C)` với `B;C\ne 0`
`=A/C` ( chia cả tử và mẫu cho `B` )
* Bỏ ngoặc đổi dấu :
`-(a-b)=b-a`
`-(-a)=+a`
`+(-a)=-a`
Hãy giúp mọi người biết câu trả lời này thế nào?
![]()
Bảng tin
1031
12767
1712
https://hoidap247.com/cau-hoi/4790519 mod oi copy nè ;-;
6655
137658
10088
Oke oke
1031
12767
1712
tks ạ
229
402
219
https://hoidap247.com/cau-hoi/4794670 Mod ơi em lộn, mod xóa đi ạ :v
6655
137658
10088
Rồi nha.
1031
12767
1712
lại gawoj nhau nè :))
229
402
219
😅😅