Vui lòng chỉ chọn một câu hỏi
Hoidap247.com Nhanh chóng, chính xác
+
Danh mục mới
0
6
Hãy luôn nhớ cảm ơn và vote 5* nếu câu trả lời hữu ích nhé!
6655
137658
10088
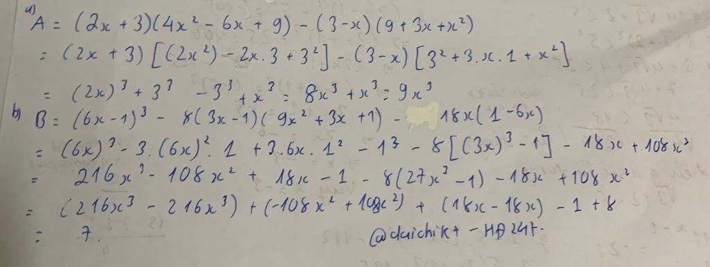
Đáp án:
Hãy giúp mọi người biết câu trả lời này thế nào?
612
1306
1081
https://hoidap247.com/cau-hoi/4778414 tắt hộ em bl mod em cảm ơn trc ;-;
Rồi nha.
https://hoidap247.com/cau-hoi/4794539 bạn chủ tus vừa sửa để dưới bl mod bỏ hết báo cáo còn sửa ;-;
để=đề
Ừ.
h sửa dưới bl hả mod
Không cần đâu, để thế được rồi. Từ đầu không cho đơn vị, không phải lỗi của bạn.
oki mod
Bảng tin
Gửi yêu cầu Hủy
612
1306
1081
https://hoidap247.com/cau-hoi/4778414 tắt hộ em bl mod em cảm ơn trc ;-;
6655
137658
10088
Rồi nha.
612
1306
1081
https://hoidap247.com/cau-hoi/4794539 bạn chủ tus vừa sửa để dưới bl mod bỏ hết báo cáo còn sửa ;-;
612
1306
1081
để=đề
6655
137658
10088
Ừ.
612
1306
1081
h sửa dưới bl hả mod
6655
137658
10088
Không cần đâu, để thế được rồi. Từ đầu không cho đơn vị, không phải lỗi của bạn.
612
1306
1081
oki mod