Đăng nhập để hỏi chi tiết


Hãy luôn nhớ cảm ơn và vote 5*
nếu câu trả lời hữu ích nhé!
Giải thích các bước giải:
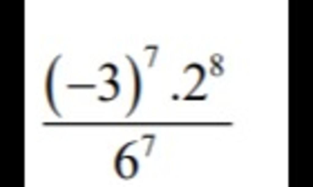
`((-3)^7 .2^8)/6^7`
`= ((-3)^7 . 2^7 .2)/6^7`
`= ((-3.2)^7 .2)/6^7`
`= ((-6^7).2)/6^7`
`= -2`
Hãy giúp mọi người biết câu trả lời này thế nào?

Bảng tin
127
4
111
bn ơi join nhóm mình ko ạ