Vui lòng chỉ chọn một câu hỏi
Hoidap247.com Nhanh chóng, chính xác
+
Danh mục mới
50
995
21
Hãy luôn nhớ cảm ơn và vote 5* nếu câu trả lời hữu ích nhé!
4886
111905
3932
Answer.
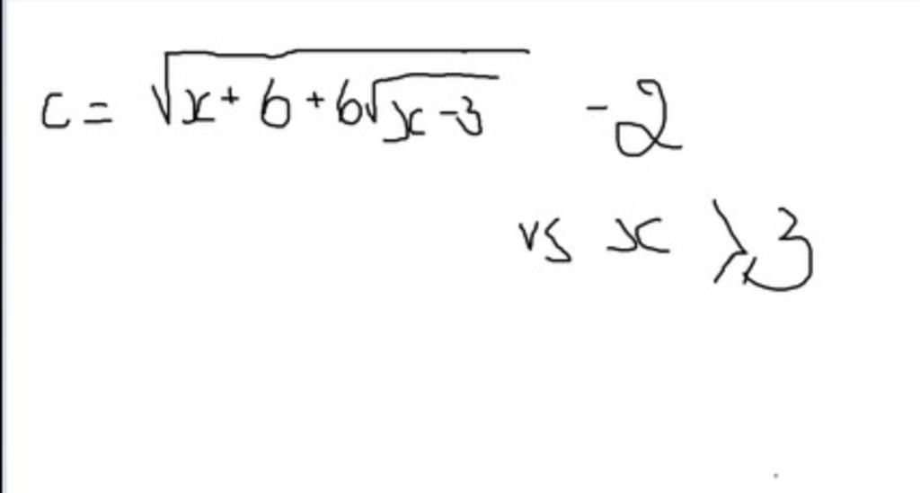
`C=sqrt{x+6+6sqrt{x-3}}-2` `(x>=3)`
`=sqrt{x-3+2.sqrt{x-3}.3+9}-2`
`=sqrt{(sqrt{x-3}+3)^2}-2`
`=|sqrt{x-3}+3|-2`
`=sqrt{x-3}+3-2`
`=sqrt{x-3}+1`
Vậy `C=sqrt{x-3}+1` với `x>=3`
Hãy giúp mọi người biết câu trả lời này thế nào?
bạn giải thích thêm cho mình ở dòng thứ 2 được không ạ
Bn tách `6=-3+9` nha
`6sqrt{x-3}` `=2.3.sqrt{x-3)` `=2.sqrt{x-3}.3`
cảm ơn bạn nha
Không có j
Xem thêm:
Bảng tin
Gửi yêu cầu Hủy
50
995
21
bạn giải thích thêm cho mình ở dòng thứ 2 được không ạ
4886
111905
3932
Bn tách `6=-3+9` nha
4886
111905
3932
`6sqrt{x-3}` `=2.3.sqrt{x-3)` `=2.sqrt{x-3}.3`
50
995
21
cảm ơn bạn nha
4886
111905
3932
Không có j