

Hãy luôn nhớ cảm ơn và vote 5*
nếu câu trả lời hữu ích nhé!
Đáp án+Giải thích các bước giải:
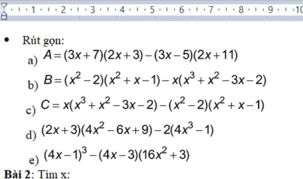
`a)`
`A=(3x+7)(2x+3)-(3x-5)(2x+11)`
`=6x^2+9x+14x+21-(6x^2+33x-10x-55)`
`=6x^2+9x+14x+21-6x^2-33x+10x+55`
`=(6x^2-6x^2)+(9x+14x-33x+10x)+(21+55)`
`=76`
`b)`
`B=(x^2-2)(x^2+x-1)-x(x^3+x^2-3x-2)`
`=x^4+x^3-x^2-2x^2-2x+2-x^4-x^3+3x^2+2x`
`=(x^4-x^4)+(x^3-x^3)+(-x^2-2x^2+3x^2)+(-2x+2x)+2`
`=2`
`c)`
`C=x(x^3+x^2-3x-2)-(x^2-2)(x^2+x-1)`
`=x^4+x^3-3x^2-2x-(x^4+x^3-x^2-2x^2-2x+2)`
`=x^4+x^3-3x^2-2x-x^4-x^3+x^2+2x^2+2x-2`
`=(x^4-x^4)+(x^3-x^3)+(-3x^2+x^2+2x^2)+(-2x+2x)-2`
`=-2`
`d)`
`(2x+3)(4x^2-6x+9)-2(4x^3-1)`
`=(2x)^3+3^3-8x^3+2`
`=8x^3+27-8x^3+2`
`=(8x^3-8x^3)+(27+2)`
`=29`
`e)`
`(4x-1)^3-(4x-3)(16x^2+3)`
`=(4x)^3-3.(4x)^2 .1+3.4x.1^2-1^3-(64x^3+12x-48x^2-9)`
`=64x^3-48x^2+12x-1-64x^3-12x+48x^2+9`
`=(64x^3-64x^3)+(-48x^2+48x^2)+(12x-12x)+(-1+9)`
`=8`
`#ld`
Hãy giúp mọi người biết câu trả lời này thế nào?

`a)`
`A=(3x+7)(2x+3)-(3x-5)(2x+11)`
`A=6x^2+9x+14x+21-(6x^2+33x-10x-55)`
`A=6x^2+23x+21-6x^2-33x+10x+55`
`A=(6x^2-6x^2)+(23x-33x+10x)+(21+55)`
`A=76`
`b)`
`B=(x^2-2)(x^2+x-1)-x(x^3+x^2-3x-2)`
`B=x^4+x^3-x^2-2x^2-2x+2-x^4-x^3+3x^2+2x`
`B=(x^4-x^4)+(x^3-x^3)+(-x^2-2x^2+3x^2)+(-2x+2x)+2`
`B=2`
`c)`
`C=x(x^3+x^2-3x-2)-(x^2-2)(x^2+x-1)`
`C=x^4+x^3-3x^2-2x-(x^4+x^3-x^2-2x^2-2x+2)`
`C=x^4+x^3-3x^2-2x-x^4-x^3+x^2+2x^2+2x-2`
`C=(x^4-x^4)+(x^3-x^3)+(-3x^2+x^2+2x^2)+(-2x+2x)-2`
`C=-2`
`d)`
`(2x+3)(4x^2-6x+9)-2(4x^3-1)`
`=` `(2x)^3+3^3-2.4x^3-2.(-1)`
`=` `8x^3+27-8x^3+2`
`=` `(8x^3-8x^3)+(27+2)`
`=` `29`
`e)`
`(4x-1)^3-(4x-3)(16x^2+3)`
`=` `(4x)^3-3.(4x)^2. 1+3.4x.1^2-1^3-(64x^3+12x-48x^2-9)`
`=` `64x^3-48x^2+12x-1-64x^3-12x+48x^2+9`
`=` `(64x^3-64x^3)+(-48x^2+48x^2)+(12x-12x)+(-1+9)`
`=` `8`
Hãy giúp mọi người biết câu trả lời này thế nào?

Bảng tin
195
1764
214
Thank you
7656
114363
6850
kcj nha
195
1764
214
https://hoidap247.com/cau-hoi/4794038